产品设计优化(面向客户需求的产品优化设计方法研究)

产品设计优化(面向客户需求的产品优化设计方法研究)

adminqwq 2026-02-28 信息披露 6 次浏览 0个评论

一、前言

客户需求是大规模个性化定制的起点和驱动 力,以满足客户需求为出发点的产品优化设计是现 代企业顺应市场发展的必然选择。然而,随着市场 的快速发展,客户的需求变得更加多样化、个性化、模糊化,客户需求量化变的越来越困难,这使得 企业在产品优化设计时难以有效地快速响应客户需 求。因此,对客户需求属性向产品设计属性进行有 效转化,对于企业的产品优化设计能够快速响应客 户需求具有重要意义。

如何有效地将客户需求映射为产品设计属性是 实现面向客户需求进行产品优化设计的关键,也一 直是国内外学术界的研究热点。Luo 等 [1] 提出了 一种基于质量功能展开(QFD)的产品设计方法, 通过质量屋矩阵将客户需求转化为最有价值的工程 属性,达到了需求转化的目的。Sheng 等 [2] 对质 量屋映射方法做了研究,并在客户需求映射为技术 属性权重上取得了一定成果。Violante 等 [3] 在匹 配公司具体需求问题上,将传统 QFD 法集成到卡 诺模型中,问题得到了有效地解决。He 等 [4] 对 传统卡诺(Kano)模型进行了改进,在理解客户 需求领域上突破了多粒度语言环境中处理人类思 维的模糊性和不确定性方面存在的局限性。Wang 等 [5] 提出一种基于朴素贝叶斯分类器的需求转化 方法,提高了客户需求向产品设计属性转化的准 确性。Zaim 等 [6] 通过将分析网络过程(ANP)、 QFD 和模糊逻辑法相结合,提高了快速响应客户 需求的能力。Li 等 [7] 提出了一种将粗糙集方法与 QFD 相结合的方法,用于产品规划过程中的关系 度量建模。此外,对于客户需求转化方法,还有 传统 QFD 法 [8]、概率统计法 [9, 10] 和聚类分析 法 [11] 等。

在以上的研究中,客户需求是从客户端直接 获取的原始信息,然而,原始的客户需求数据往 往具有模糊性、重叠性等特点,无法直接使用; 对客户需求向产品设计属性转化的过程是对各个 参考条件独立进行的,然而,实际生活中,客 户对一个产品的最终决策是对各个参考条件综合 考虑和权衡的结果。针对这些问题,本文提出了 一种基于模糊聚类和联合分析 – 质量功能展开 (CA-QFD)的快速响应客户需求方法。首先,通过 模糊聚类对原始的客户需求信息进行聚类处理,对 动态聚类结果进行企业筛选,获取客户需求集合。 然后,通过构建的 CA-QFD 需求转化方法的联合分 析阶段对客户需求进行量化,获取客户需求权重, 通过 QFD 转化阶段对客户需求向产品设计属性转化,最后通过多目标优化方法对产品进行优化设计 以实现对客户需求的快速响应。

二、客户需求信息的模糊聚类处理

(一)客户需求信息的模糊聚类模型

聚类是根据相似程度将目标对象群进行分类,同 一类中的对象子群相似程度高,不同类间的对象差 异性高。本文采用基于模糊相似理论的模糊聚类方 法,对原始的客户需求信息进行聚类处理,模糊聚 类以获取客户需求信息为起点,通过需求信息标准 化等步骤最终得到最佳聚类方案,模型如图 1 所示。

面向客户需求的产品优化设计方法研究

图 1 客户需求聚类模型

1. 原始客户需求信息获取

客户需求信息获取原则如下:①覆盖性原则, 对于所有列为客户的对象,全覆盖性的采集所有的 需求;②建议性原则,在需求信息获取过程中,通 过建议性语言来帮助客户清晰地表达自己的需求; ③细化性原则,客户对产品每个属性的要求具体细 化地获取。

客户需求信息获取方法如下:①外部市场调 查,通过问卷调查、电话调查等方法获取客户需求; ②企业数据库信息分析,对企业历史订单,客户反 馈数据等进行分析预测;③互联网模式获取,通过 Internet,Web 平台等获取客户的需求。

2. 客户需求信息标准化

从客户端直接获取的原始需求信息往往是不清 晰的,且需求属性出现重叠和交叉,通过对客户信 息的标准化,将原始的客户需求信息转化为可有效 使用的信息。

3. 客户需求模糊聚类处理

通过模糊聚类方法将多样的客户需求进行聚 类,使客户需求从面向单一的对象转化为面向由相 似度高的多个对象组成的一个整体。

4. 聚类结果评估

通过企业的专家评估,在动态聚类结果中筛选 出最佳方案作为客户需求集合。

(二)基于模糊相似理论的客户需求聚类

基于模糊相似理论的聚类方法中,设待聚类的 n 个客户需求属性组成集合 C = {a1, a2, …, an},ai 为客户需求属性;设待聚类的 m 个客户组成集合 X = {x1, x2, …, xm},xi 为具体客户。定义 S = (X, C) 为客户需求信息系统。客户需求模糊聚类详细步 骤如下:

步骤 1:需求信息标准化

将获取的原始客户需求信息分为阶梯型和平等 型两类,阶梯型信息指客户需求属性值具有差异性 的等级关系,如质量、效率等;平等型信息指客户 需求属性值是相互独立平等的,没有差异性的等级 关系,只有相同或不同两种关系,如客户对产品包 装颜色的选择。

将阶梯型属性聚集在信息系统前部,平等型属 性聚集在后部,使用标准化数学模型进行处理。建 立信息标准化数学模型如下:

面向客户需求的产品优化设计方法研究

式(1)中,i = 1, 2, …, m;x′ 为原始信息数据;x 为 进行标准化后的信息数据。

步骤 2:建立模糊相似矩阵

通过位于信息系统前部的阶梯型属性集的均值 转换平等型属性值,公式如下:

面向客户需求的产品优化设计方法研究

式(2)中,k = l + 1, l + 2, …, n;hk 为第 k 个属性 的属性值种类。

面向客户需求的产品优化设计方法研究

式(3)中,ak 为平等型属性;k = l + 1, l + 2, …, n。

则客户对象集合 X = {x1, x2, …, xm} 中,xi 与 xj 的模糊相似度公式如下:

面向客户需求的产品优化设计方法研究

式(4)中,c 为修正系数;0 ≤ rij ≤ 1。

则得到模糊相似矩阵如下:

面向客户需求的产品优化设计方法研究

该矩阵具有如下特性:自反性, i = j, rij = 1 ;对称 性,rij = rji,均代表 xi 与 rj 的模糊相似度。

步骤 3:闭包矩阵

从模糊相似矩阵 R 出发求其等价闭包矩阵 t(R),即满足 rij rjk ≤ rik,将 R 矩阵转化为模糊等 价矩阵的方法是将 R 自乘得到 R × R = R2 ,再自乘 R2 ,直到出现 Rk ° Rk = Rk ,此时 t(R) 为模糊等价矩 阵,即

面向客户需求的产品优化设计方法研究

步骤 4:截矩阵

截矩阵 Rλ = (λij)

面向客户需求的产品优化设计方法研究

式(7)中,i, j = 1, 2, …, n,λ 为等价闭包矩阵 t(R) 中元素,通过 λ 的不同取值,获取动态聚类,通 过企业内部专家评估,筛选出最佳聚类方案,根 据模糊聚类的结果,得到具体的客户需求集合 FCR = (CR1, CR2, …, CRm),其中 m 为最佳聚类方案 的聚类数。

三、基于 CA-QFD 的客户需求转换方法

(一)CA-QFD 方法描述

QFD 方法是客户需求转化为产品设计属性的经 典方法。然而,在传统的 QFD 方法中,客户在调 查阶段对产品各个需求的评价是独立完成的,这虽 然有利于降低需求量化问题的复杂性,但是所得到 的结果只是客户对各个属性局部喜好的叠加而非对 整个产品的全局喜好结果,原因在于客户对产品进 行决策时是对产品的多个需求情况进行综合考虑的 结果,是一种对需求的权衡。将它们完全独立地进 行评价,会对最终的需求量化结果的适用性和真实性造成不利影响。

联合分析在客户调查阶段通过对客户购买决策 的现实模拟性,将客户决策时考虑的产品属性作为 因素,将客户对因素的偏爱程度作为效用,通过为 客户提供具有不同因素水平的产品组合方案供客户 比较和评价,获取客户对不同产品属性的偏爱程 度。实现在产品决策时对多个特征的综合性考虑, 弥补了传统 QFD 方法在需求调查分析时的不足。

本文将 CA 法 和 QFD 方 法 结 合, 构 建 一 种 CA-QFD 需求转化方法,详细步骤如下。

CA 阶段:

步骤 1:确定因素及因素水平;

步骤 2:利用联合分析中统计产品与服务解决 方案 SPSS 软件确定产品组合方案并获取客户对组 合方案的评价结果数据;

步骤 3:对客户需求权重进行数学建模,计算 需求权重数值。

QFD 阶段:

步骤 4:对客户需求因素向设计属性进行量化, 计算求得产品设计属性权重数值;

步骤 5:构建 QFD 需求转化矩阵,完成客户需 求向产品设计属性的转化。

(二)联合分析阶段的客户需求属性量化处理 联合分析中首先确定客户选择产品时的参考

因素,并对每个因素确定恰当的因素水平,本文 以通过模糊聚类获得的标准客户需求作为因素, 每个因素配以最多不超过 4 个水平数。效用是反 应客户对产品属性偏爱的值,产品组合方案效用 代表客户对该组合方案整体的偏爱程度,采用联 合分析中 SPSS 工具的正交设计方法生成产品组合 方案,采用打分法,制作 0~100 的区间标尺获取 调查客户的评价结果数据,0 代表最不满意,100 代表最满意。

对获取的产品组合方案评分数据,利用联合分 析法进行分析计算,得到因素水平的效用。数学模 型如下:

面向客户需求的产品优化设计方法研究

式(8)中,Uk (X) 为某一产品组合的总效用;I 为因素总数;Li 为因素 i 的水平总数;PWkil 为第 k 个 客户群的因素 i 的第 l 个水平贡献的效用;Xil 为决 定值:

面向客户需求的产品优化设计方法研究

由式(9)得到的每一个因素在其对应的水平下都 有一个效用值,利用联合分析法对客户需求属性的 重要性进行量化,详细内容为:如果因素 i 的所有 水平效用值间是无差异的,代表该因素对客户选择 产品影响很小;反之,如果各个水平效用值差异很 大,代表该因素对客户选择产品影响很大。客户需 求权重的计算公式如下:

面向客户需求的产品优化设计方法研究

式(10)中,wki CR 为第 k 个客户群第 i 个客户需求 属性的权重;max PWkil 和 min PWkil 分别为这一因 素下的最大因素水平值和最小因素水平值。

(三)基于 CA-QFD 的需求属性转化

通过 0-1-3-5-7-9 的数量尺度表量化客户需求 和设计属性间的关联度以及不同设计属性间的耦合 度,将量化结果导入到构建的 QFD 转换矩阵中, 完成需求属性转化。

客户需求 CRi 与设计属性 fi 使用 0-1-3-5-7-9 的 数量尺度表进行量化,如表 1 所示。

表 1 数量尺度量化表

面向客户需求的产品优化设计方法研究

设计属性转化公式如下所示:

面向客户需求的产品优化设计方法研究

式(11)中,wkj DA 为第 k 个客户群的产品第 j 个设 计属性的权重;rij 为 QFD 矩阵元素。

设计属性权重量化的 QFD 矩阵如下:

面向客户需求的产品优化设计方法研究

对于设计属性集合 F = (f1, f2, …, fn),企业根据 重要因子 b 进行筛选,大于重要因子的表明该设计属 性对于客户需求更重要,可作为产品优化设计目标。

四、面向客户需求的产品多目标优化设计模型

快速响应客户需求的产品优化设计是多目标优 化问题的拓展,其优化数学模型如下:

面向客户需求的产品优化设计方法研究

在客户需求属性转化为设计属性并最终筛选出 优化目标后,本文采用改进的非支配排序遗传优化 算法(NSGA-II)[12,13] 对实例产品进行独立的多 目标优化,并根据模糊集理论的 Pareto 选优方法选 出最优解。

NSGA-II 遗传算法的流程图如图 2 所示。该算 法具有稳定性强、运算速度快等特点,在工程优化 设计中大量被使用,是多目标优化设计问题的有效 解决算法。该算法首先对初始种群进行排序并计算 拥挤距离,然后通过交叉、变异等遗传操作产生新 个体,新个体与父带种群融合形成新一代暂存种群, 然后对暂存种群按照等级和排挤距离进行排序,完 成一次进化运算,当循环达到预设的迭代次数,运 算停止并获取优化目标的最优解集,最后通过模糊 集筛选出最优解。然后对暂存种群按照等级和排挤 距离进行排序,完成一次进化运算,当循环达到预 设的迭代次数,运算停止并获取优化目标的最优解 集,最后通过模糊集筛选出最优解。

五、实例验证

(一)液压缸客户需求模糊聚类

根据某锻压机主工作液压缸的市场需求统计, 某液压缸生产制造企业得到 12 家锻压机客户对主 液压缸的原始需求信息统计表,如表 2 所示。 其中,a1 为价格;a2 为液压缸许用应力;a3 为 重量;a4 为最低使用寿命;a5 为最大行程;a6 为液 压缸用途属性值;1,2,3 分别代表普通型锻压机

面向客户需求的产品优化设计方法研究

图 2 NSGA-II 遗传算法流程图

表 2 客户需求信息统计表

面向客户需求的产品优化设计方法研究

液压缸,中大型锻压机液压缸,特种型锻压机液压缸。

令 c = 0.1,由式(1)~(6)可得到闭包矩阵 t(R) = R8 。经过计算得出的闭包矩阵如下:

面向客户需求的产品优化设计方法研究

根据 t(R) 矩阵,得到 λ 集合 {1.00, 0.98, 0.96, 0.95, 0.93, 0.92, 0.85},客户需求动态聚类结果如 图 3 所示。

该液压缸生产企业通过企业成本和客户满意度 评估,当 λ = 0.93,聚类数 rλ = 4 时,企业预期利益 和客户满意度最高,即最佳聚类结果为 {x1, x3, x4, x10, x11},{x2, x6, x7, x12},{x5, x9},{x8}。对每一个 聚类子集定义为一个最佳的标准客户需求因素,获 得最佳的客户需求集合 FCR = (CR1, CR2, CR3, CR4), 其中 CR1 为价格因素,CR2 为安全性因素,CR3 为 重量因素,CR4 为寿命因素。

(二)基于 CA-QFD 的液压缸客户需求转化

以上一步模糊聚类获得的客户需求集合作为联 合分析的因素,根据液压缸市场分析确定因素水平, 得到客户需求联合分析因素水平表,如表 3 所示。 根据联合分析方法建立全组合方案并对每个组合方案进行市场样本打分法评价,样本容量为 50, 表 4 为组合方案打分结果。

由式(8)~(10),得到各项因素水平的效用值 以及全体客户对产品需求因素的权重,结果如表 5 所示。

锻压机主工作液压缸的设计属性及度量指标

表 3 客户需求联合分析因素水平

面向客户需求的产品优化设计方法研究

面向客户需求的产品优化设计方法研究

图 3 客户需求动态聚类结果

表 4 组合方案打分结果

面向客户需求的产品优化设计方法研究

表 5 客户对产品需求因素的权重

面向客户需求的产品优化设计方法研究

主要为以下 5 项,f1 为功率损失 ΔP(经济性属性 指标);f2 为法兰过渡区最大当量应力 YD, MPa (安全属性指标);f3 为摩擦力矩 Mf,N·cm;f4 为 疲劳应力 σ,MPa (寿命属性指标);f5 为体积 V, cm3 (重量属性指标)。

利用数量尺度表 0-1-3-5-7-9 对客户需求属性向 设计属性进行量化,由式(11)求得相应数据并输 入 QFD 矩阵,利用 QFD 矩阵分析方法将客户需求 权重转化为设计属性权重,结果如图 4 所示。

液压缸制造企业设计重要因子值 b 为 0.2,大于该值的设计属性对客户需求影响更大,因此根据客 户需求所得到的优化目标为 f(安全性)和 2 f(重量)。

(三)液压缸的多目标优化设计

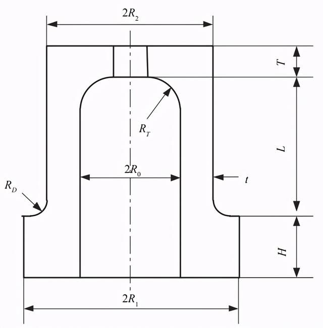
通过以上两步的客户需求聚类及客户需求向 设计属性量化后得到液压缸优化目标为安全性和重 量,求解设计变量使液压缸具有更高的安全性以及 更小的重量,用法兰盘过渡区最大当量应力 YD 代 替安全性,用液压缸体积 V 代替重量,建立液压缸 的优化目标函数和约束条件。液压缸的简化计算模 型图,如图 5 所示。

优化目标函数:

面向客户需求的产品优化设计方法研究

面向客户需求的产品优化设计方法研究

图 4 客户需求转化矩阵

面向客户需求的产品优化设计方法研究

图 5 液压缸简化计算模型

根据锻压机主工作液压缸的设计要求、装配工 艺、加工工艺规范以及制造生产经验,确定 6 个设 计变量的不等式约束条件。同时液压缸需满足应力 约束条件:在法兰过渡区的最大计算当量应力 YD 小于允许应力 YG1,缸底过渡区的最大计算当量应 力 YT 小于允许应力 YG2,法兰支承面上的挤压应 力 YM 小于允许挤压应力 [YM][14]。约束条件如 表 6 所示。

表 6 约束条件

面向客户需求的产品优化设计方法研究

通过试验运行确定初始种群规模 N = 500、迭 代次数 Gmax=1000、交叉概率 Pc=0.8、变异概率Pm=0.5 及交叉与变异运算的分布指数 ηc= 20、ηm=20 等 NSGA-II 运算参数 , 在 2.6 GHz PentiumIV 处理 器的运算时间平均为 30.9 s,得到 Pareto 集,根据 模糊优选理论的相关方法,得到最优解。得到的优 化结果与原始设计对比,如表 7 所示。

表 7 优化结果与原始设计对比

面向客户需求的产品优化设计方法研究

根据优化结果对比可知,优化后的液压缸质 量减轻 22%,法兰过渡区最大当量应力减少 3.8%。 实现了对客户需求的快速响应,对安全和重量两个 性能进行了针对性优化。

六、结语

本文构建了一种新的面向客户需求的产品优化 设计方法,以原始客户需求信息为起点,最终实现 快速响应客户需求获取产品的优化设计目标。

首先,笔者提出的模糊聚类方法解决了模糊多 样的客户需求信息分类问题,实现了对原始客户需求 信息的标准化和精简处理,为需求转化提供了条件; 其次,笔者提出的将联合分析法和传统 QFD 方法相 结合的 CA-QFD 需求转化方法,解决了传统 QFD 方 法在客户调查阶段的独立分析各个影响因素的不足, 实现了对客户选择产品时决策的真实模拟性,使客 户需求转化结果更准确和更适用;最后,锻压机主 工作液压缸的实例表明,笔者提出的方法能够快速 准确地响应客户需求信息,得到产品优化设计方案, 为企业生产提供具有使用价值的指导信息。

转载请注明来自海坡下载,本文标题:《产品设计优化(面向客户需求的产品优化设计方法研究)》

每一天,每一秒,你所做的决定都会改变你的人生!

发表评论

快捷回复:

评论列表 (暂无评论,6人围观)参与讨论

还没有评论,来说两句吧...