优化设计matlab(MATLAB微电网基于双层优化的微电网系统规划设计方法)

优化设计matlab(MATLAB微电网基于双层优化的微电网系统规划设计方法)

adminqwq 2026-01-16 社会资讯 20 次浏览 0个评论
MATLAB|微电网|基于双层优化的微电网系统规划设计方法

蓝字 关注我们

MATLAB|微电网|基于双层优化的微电网系统规划设计方法

本文目录如下: 目录 1 概述 1.1 微电网系统结构 1.2 微电网系统双层规划设计结构 1.3 双层优化模型 1.4 上层容量优化模型 1.5 下层调度优化模型 2 运行结果 3 文献来源 4 Matlab代码、数据、文章讲解

MATLAB|微电网|基于双层优化的微电网系统规划设计方法MATLAB|微电网|基于双层优化的微电网系统规划设计方法MATLAB|微电网|基于双层优化的微电网系统规划设计方法

1概述

MATLAB|微电网|基于双层优化的微电网系统规划设计方法

文献:

MATLAB|微电网|基于双层优化的微电网系统规划设计方法

摘要:规划设计是微电网系统核心技术体系之一。从分布式电源的综合优化(组合优化、容量优化)和分布式电源间的调度优化两个方面对其展开研究。根据分布式电源特性,提出了适用于并网型微电网系统和独立型微电网系统的双层优化规划设计模型。上层优化采用综合目标计算系统最优配置;下层优化采用混合整数线性规划算法(MILP)计算系统最优运行方案。运用所建立模型,分别针对并网型和独立型微电网系统作了案例计算,验证了所提方法的正确性。

关键词:微电网;双层优化;规划设计;最优配置;MILP;

微电网系统可将多种类型的分布式发电单元组合在一起,有效发挥单一能源系统的优点,实现多种能源互补,提高整个微电网系统的效率、能源利用率和供电可靠性。根据其是否与常规电网相连接,微电网可以分为并网型微电网和独立型微电网[1]。微电网接入配电网并网运行,不仅可以充分利用微电网内部的绿色可再生能源,还可以提高整个电网 的安全性,是中国建成智能电网的重要环节。同时,独立型微电网系统是解决偏远地区和海岛供电的有效手段之一[2-3]。 规划设计是微电网系统核心技术体系之一,它直接关系到系统经济性、环保性和可靠性[4]。在规划设计的过程中,需要考虑可再生能源的间歇性、灵活多变的系统组合方案和不同系统运行控制策略,这些因素的存在使微电网系统优化规划变得较为复杂[5-7]。本文将从分布式电源的综合优化(优化组合、优化容量)和分布式电源间的优化调度两个方面出发,对微电网系统优化规划展开研究。围绕微电网系统的优化规划,很多学者已对其开展了一定研究,提出一系列运行控制策略和优化 规划方法。微电网系统运行控制策略可分为固定策略和优化策略,固定策略以事先拟定的优先级制定系统运行规则,优化策略则根据相应目标函数求解系统最优运行规则[8]。在美国国家新能源实验室(NERL)开发的 Hybrid2[9]仿真软件中,提出十几种独立微电网系统固定运行策略,包括平滑功率策略(Traditional Power Smoothing, TPS)、硬充电策略(Hard Cycle Charge, HCC)等,较为全面地概括了独立微电网系统固定策略控制模式。在该软件中所提出的硬充电策略的基础上,文献[10]提出了一种适用于风光柴储独立微电网系统的修正硬充电策略,可有效延长蓄电池使用寿命。在微电网系统的优化调度方面,通常选取系统调度周期内运行费用最小为优化目标,文献[11-12]研究了独立微电网系统的优化调度方法,文献[13]提出了并网型风光柴微电网系统的微电网动态经济调度模型。

1.1 微电网系统结构

本文研究的微电网系统结构如图1所示。风力发电机、光伏发电和储能系统等通过各自的变流器接入交流微电网系统,并通过公共连接点(PCC)与配电网连接,组成并网型微电网。通过对该微电网的控制,可实现微电网的孤岛和并网运行。柴油发电机采用同步发电机发电,直接并入交流微电网。在优化规划设计中,忽略线路阻抗引起的损耗。

MATLAB|微电网|基于双层优化的微电网系统规划设计方法

1.2 微电网系统双层规划设计结构

本文采用双层优化规划方法对微电网系统进行优化,上层为容量优化模块,用于寻找系统最优配置,包括系统各设备类型、台数和容量,下层为调度优化模块,用于计算系统最优运行方案。双层优化含有两个层次,上层决策结果一般会影响下层目标和约束条件,而下层则将决策结果反馈给上层,从而实现上下层决策的相互作用,如图2 所示为本文双层优化逻辑图。

MATLAB|微电网|基于双层优化的微电网系统规划设计方法

1.3 双层优化模型

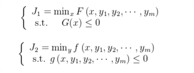
Bracken J 和 McGill J T 于 1973 年最早提出了多层规划的概念,已解决多层规划/优化问题,双层规划是多层规划的特例。双层规划在输电系统、无 功优化、配电系统优化规划等领域已有研究报道。数学上双层优化可描述为:

MATLAB|微电网|基于双层优化的微电网系统规划设计方法

式中: F ( • )为上层优化的目标函数; x 为上层优化的决策向量; G ( • )为上层优化所需满足的约束条件; f ( • )为下层优化的目标函数; y 为下层优化的决策向量; g ( • )为下层优化所需满足的约束条件。

1.4 上层容量优化模型

MATLAB|微电网|基于双层优化的微电网系统规划设计方法

1.5 下层调度优化模型

MATLAB|微电网|基于双层优化的微电网系统规划设计方法

一、双层优化方法的基本原理及在微电网规划中的作用

双层优化是一种具有层级耦合关系的数学规划模型,由 外层规划层 和 内层运行层 构成,通过迭代求解实现全局最优:

外层规划模型 目标函数

:以系统全生命周期成本最小化为核心,包括:

初始投资成本(光伏、风机、储能等设备购置)

运维成本、设备替换成本

购售电成本(如与主网交互费用)

决策变量

:设备类型、容量配置、网架结构设计。

内层运行模型 目标函数

:在给定配置方案下优化短期运行,如:

最小化运行成本(燃料费用、维护费用)

最大化供电可靠性或电压稳定性

关键技术

:采用 二阶锥松弛法 (Second-Order Cone Relaxation)转化非线性潮流约束为可求解的凸优化问题。

迭代机制

外层传递配置方案至内层 → 内层模拟运行并反馈经济/技术指标 → 外层调整配置直至收敛。

优势

:兼顾长期规划经济性与短期运行稳定性,避免单层模型的局部最优问题。

二、微电网系统规划设计的关键要素

依据技术标准及研究文献,规划需涵盖以下核心环节:

负荷需求分析

包括负荷类型(工业/居民)、最大供电负荷、典型日/季节负荷曲线,需结合空间特性采用 改进负荷密度法 或 人工神经网络预测 。

发电资源评估

可再生能源(风/光/水)潜力量化,辅以天然气/柴油备用电源,优先配置可再生能源。

分布式电源与储能配置

电源组合优化(光伏容量、风机台数、储能类型及并联支路数)

储能需满足充放电功率约束、荷电状态(SOC)限制及寿命模型(如雨流计数法计算循环寿命)。

网架结构与控制系统

电压等级选择(如10kV/380V)、接线形式(放射状/环网)

二次系统设计:继电保护、能量管理系统(EMS)、黑启动能力。

三、双层优化在微电网中的具体应用场景与案例

风光氢储多微网系统容量配置 (刘忠等,2025)

外层

:最小化风-光-电-氢混合储能全生命周期成本。

内层

:采用二阶锥松弛优化潮流,实现多能互补调度。

工业园区光储经济性优化 (李嘉丰等,2024)

外层

:以投资回收期、内部收益率为经济指标。

内层

:以供电可靠性为约束,制定储能充放电策略,削减峰谷差。

微电网群协同调度

上层

:协调微电网间功率交换,最小化群总成本。

下层

:各微网内部设备优化(如BMAPPO算法处理功率不平衡)。

MATLAB|微电网|基于双层优化的微电网系统规划设计方法

低碳-经济协同优化 (谭玲玲等,2024)

引入碳交易机制,外层优化设备容量,内层通过需求响应调整负荷曲线。

四、数学建模方法与约束条件处理 (一)典型双层模型结构

层级 目标函数 约束条件 求解方法

外层

min 总成本/投资回收期

设备容量限值、网架拓扑约束

NSGA-II、灰狼优化算法

内层

min 运行成本/碳排放量

功率平衡、SOC限制、爬坡率、备用容量

MILP、二阶锥规划

(二)多目标优化处理方法

目标整合方式 :

经济性(成本)与环保性(碳排放)通过 碳交易成本 货币化。

可靠性指标(如LPSP)转化为缺电损失费用。

约束条件分类 :

系统级

:功率平衡、联络线传输限值。

设备级

:柴油机最小启停时间、储能充放电深度。

环境级

:可再生能源出力波动性(采用盒式不确定集合鲁棒优化)。

五、双层优化求解算法及实现路径

Benders分解法

应用于并/离网协同调度:

主问题

(并网):机组组合优化(0/1变量)。

子问题

(离网):优化潮流计算(连续变量)。

优势

:迭代次数减少40%(42次→27次),加速收敛。

交替方向乘子法(ADMM) 分布式求解流程

各微电网独立计算期望交换功率 → 相邻微网交换边界变量 → 更新拉格朗日乘子 → 收敛判断。

MATLAB|微电网|基于双层优化的微电网系统规划设计方法 隐私保护

:仅交互功率信息,避免泄露内部成本函数。

智能算法融合 外层

:改进NSGA-II(拥挤距离排序保持Pareto解多样性)。

内层

:深度强化学习(如BMAPPO算法处理不确定性)。

六、关键参数对优化的影响与设计建议

分布式电源容量

过高导致弃风弃光,过低增加购电成本,需通过内层运行反馈调整。

储能配置

容量不足降低可靠性,过量配置延长投资回收期(案例:工业园按负荷重要性分级可削减储能容量30%)。

负荷特性

峰谷差大的负荷需配置高灵活性储能,平缓负荷可减少储能依赖。

七、研究局限与发展方向

当前挑战

高维变量求解效率低(如风光不确定性导致模型规模膨胀)。

历史数据依赖性强,孤岛微电网经济性优化难度大。

未来趋势

AI融合

:结合迁移学习减少数据依赖,提升孤岛调度适应性。

即插即用架构

:支持动态增删设备的重构型微电网设计。

政策耦合

:将碳配额、绿证交易纳入外层目标函数。

结论 :双层优化通过分层迭代机制,有效协调微电网规划的经济性、可靠性与环保性矛盾。未来需突破算法效率瓶颈,深化多主体博弈与不确定性建模,推动微电网向智能自治方向演进。

MATLAB|微电网|基于双层优化的微电网系统规划设计方法MATLAB|微电网|基于双层优化的微电网系统规划设计方法MATLAB|微电网|基于双层优化的微电网系统规划设计方法

2运行结果

MATLAB|微电网|基于双层优化的微电网系统规划设计方法MATLAB|微电网|基于双层优化的微电网系统规划设计方法MATLAB|微电网|基于双层优化的微电网系统规划设计方法MATLAB|微电网|基于双层优化的微电网系统规划设计方法MATLAB|微电网|基于双层优化的微电网系统规划设计方法MATLAB|微电网|基于双层优化的微电网系统规划设计方法MATLAB|微电网|基于双层优化的微电网系统规划设计方法

3 参考文献

部分理论来源于网络,如有侵权请联系删除。

MATLAB|微电网|基于双层优化的微电网系统规划设计方法

[1]刘振国,胡亚平,陈炯聪,余南华.基于双层优化的微电网系统规划设计方法[J].电力系统保护与控制,2015,43(08):124-133.

MATLAB|微电网|基于双层优化的微电网系统规划设计方法MATLAB|微电网|基于双层优化的微电网系统规划设计方法

4Matlab代码、数据、文章讲解

MATLAB|微电网|基于双层优化的微电网系统规划设计方法

转载请注明来自海坡下载,本文标题:《优化设计matlab(MATLAB微电网基于双层优化的微电网系统规划设计方法)》

每一天,每一秒,你所做的决定都会改变你的人生!

发表评论

快捷回复:

评论列表 (暂无评论,20人围观)参与讨论

还没有评论,来说两句吧...