博图电机优化(博图GRAPH工业自动化中的顺序控制利器)

博图电机优化(博图GRAPH工业自动化中的顺序控制利器)

adminqwq 2026-01-14 社会资讯 1 次浏览 0个评论

在工业自动化领域,顺序控制是生产流程中不可或缺的核心环节。西门子TIA Portal(全集成自动化平台)中的GRAPH语言,正是针对这一需求设计的图形化编程工具。它基于国际标准IEC 61131-3的SFC(Sequential Function Chart)语言,通过直观的流程图形式简化复杂逻辑的实现,成为工程师高效开发顺序控制程序的利器。

什么是GRAPH?

GRAPH是西门子S7-1200/1500系列PLC支持的专用编程语言,专为多步骤、多状态的顺序控制场景设计。它通过“状态(Step)”和“转移条件(Transition)”构建程序框架,将复杂的工艺流程分解为清晰的步骤,并支持并行分支、跳转、循环等逻辑。相较于传统的梯形图(LAD)或结构化文本(ST),GRAPH更擅长处理需要严格时序和状态切换的任务。

博图GRAPH:工业自动化中的顺序控制利器

核心功能与优势1.图形化编程,逻辑一目了然步骤(Step):代表流程中的一个具体动作(如电机启动、阀门开启),可定义执行条件和输出信号。转移条件(Transition):通过布尔逻辑或定时器/计数器判断是否进入下一步。分支与并行处理:支持顺序、并行和选择分支,轻松实现多任务协同。直观的监控界面:运行时可高亮显示当前激活的步骤,便于快速定位故障。博图GRAPH:工业自动化中的顺序控制利器

2.高效开发与调试代码复用:通过“步模板”功能批量定义相似步骤,减少重复劳动。仿真测试:TIA Portal内置仿真器,可在无硬件条件下验证逻辑。错误诊断:自动检测死循环、未连接转移条件等常见错误。3.灵活的互操作性与TIA Portal其他语言(如SCL、LAD)无缝集成,复杂算法可通过函数块调用。支持HMI直接关联GRAPH变量,实现状态监控界面快速开发。博图GRAPH:工业自动化中的顺序控制利器

典型应用场景生产线控制如汽车装配线的焊接、喷涂、检测等工序的协同调度。包装机械实现物料填充、封口、贴标等动作的精确时序控制。过程工业化工反应釜的温度、压力多阶段控制,或制药行业的灭菌流程。设备维护模式通过GRAPH定义设备自检、校准等维护流程,降低人工干预风险。实战案例:原料配比系统

博图GRAPH:工业自动化中的顺序控制利器

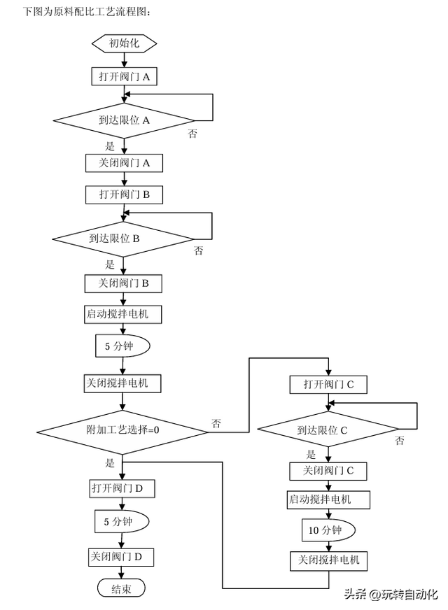
简单工艺描述:

初始化

打开阀门 A,当液体 A 到达限位A 时,关闭阀门 A,打开阀门 B,当液体 B到达限位 B 时,关闭阀门 B,启动搅拌电机,5 分钟后关闭搅拌电机,

如果附加工艺选择为“0”:

则打开阀门 D,流程结束。如果附加工艺选择为“1”:

则打开阀门 C,当液体 C到达限位 C 时,关闭阀门C,

启动搅拌电机,10 分钟后关闭搅拌电机,

打开阀门 D,流程结束。

博图GRAPH:工业自动化中的顺序控制利器

GRAPH vs 传统方法

对比项

GRAPH

传统梯形图

逻辑表达

时序流程清晰,适合多步骤

适合布尔逻辑和简单连锁

开发效率

图形化设计,修改便捷

代码量大,维护复杂

可读性

流程图形式,团队协作友好

需逐行分析逻辑

调试难度

实时状态可视化,故障定位快

依赖变量监控,排查耗时

未来趋势

随着工业4.0对柔性制造的需求增长,GRAPH正与TIA Portal的数字化工具深度整合。例如:

通过SIMIT实现虚拟调试,缩短项目周期。结合AI算法优化转移条件,实现自适应控制。利用云平台远程更新GRAPH程序,支持产线快速换型。结语

博图GRAPH凭借其直观性、高效性和强大的诊断能力,已成为复杂顺序控制项目的首选工具。无论是新工程师快速上手,还是资深开发者优化架构,GRAPH都能显著提升自动化系统的可靠性与可维护性。在智能制造浪潮下,掌握GRAPH编程技能将为工程师开启更广阔的工业自动化舞台。

延伸学习

西门子官方GRAPH手册:https://support.industry.siemens.com实战视频教程:TIA Portal GRAPH从入门到精通社区论坛:参与技术讨论,获取行业案例

希望这篇文章帮助您快速理解GRAPH的核心价值与应用场景

转载请注明来自海坡下载,本文标题:《博图电机优化(博图GRAPH工业自动化中的顺序控制利器)》

每一天,每一秒,你所做的决定都会改变你的人生!

发表评论

快捷回复:

评论列表 (暂无评论,1人围观)参与讨论

还没有评论,来说两句吧...