1 噪声和振动问题分析
问题车转速在2 400 r·min-1和3 800 r·min-1左右时,车内有明显的轰鸣声,严重影响了车内人员的乘坐体验。为此,对问题车进行整车试验并分析噪声和振动问题。整车试验时,问题车挂入空挡,缓慢原地加速,速度为700~4 500 r·min-1。使用德国BBM设备收集并处理数据。在前后排座椅右耳位置布置麦克风收集声压数据,在司机座椅导轨处布置振动加速度传感器收集振动数据,传感器布置如图1 所示。从测试结果(图2)中可看出,车内轰鸣声主要由发动机的2 阶激励造成,轰鸣声频率在78 Hz和127 Hz左右。
对问题车进行传递路径分析,推测轰鸣声是由于汽车半轴的弯曲模态频率与发动机二阶点火频率耦合引起的。问题车的传动轴采用长短轴结构(左短右长),如图3所示,其中左半轴为空心管,右半轴则为直径28.2 mm的实心管。一般来说,空心管的固有频率比实心管大很多,故推测轰鸣声是由右半轴引起的。对右半轴进行频率响应测试,从测试结果(图4)可以看出,右半轴Z 向频响函数在78 Hz和128 Hz处出现峰值,可以确定轰鸣声是由于汽车右半轴弯曲引起的。为解决车内轰鸣声,在不改变传动轴结构的基础上,在汽车右半轴上加装DVA。
2 动力吸振器设计
2.1 动力吸振器原理
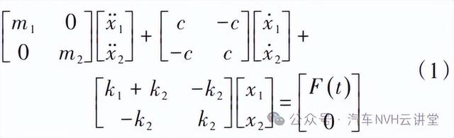
汽车半轴可看作刚性体,由于刚性体的阻尼较小,建立汽车半轴DVA模型时,一般忽略汽车半轴的阻尼,把汽车半轴等效成零阻尼的单自由度系统(图5)。半DVA系统的运动学方程为
式中:M为汽车半轴质量;m为DVA质量;x1为汽车半轴位移;x2为DVA位移;k1为汽车半轴刚度;k2为DVA 刚度;c 为DVA 阻尼;F(t)为汽车半轴受到的激励力。汽车半轴和DVA固有频率及比值分别为

质量比、激励频率比分别为

定义DVA的阻尼比为

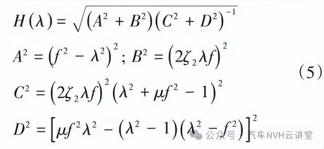
由式(1)推导汽车半轴的振动放大系数为
2.2 动力吸振器参数设计
目前大多数汽车用DVA的优化目标是使振动放大系数最大值最小,根据PQ定点理论优化DVA参数,即先确定DVA 质量,再根据最佳调谐比公式确定DVA固有频率:

根据最优阻尼比公式确定DVA阻尼比:

实际生产过程中,由于材料的限制,橡胶阻尼式DVA的阻尼比很难调到由最优阻尼比公式得到的值,由最优阻尼比公式算出的阻尼比往往偏大,从而导致DVA的减振效果达不到预期。文中设计的汽车半轴DVA 为橡胶阻尼式DVA,由于结构和材料限制,其阻尼比不超过0.1;从相关论文结论可知,DVA 质量越重,DVA 的减振效果越好,综合考虑减振效果和安装空间的限制,DVA 质量设定为800 g。考虑到实际生产时DVA 的阻尼比,借助Isight强大的多学科设计优化能力,选用Isight中的MIGA 算法(多岛遗传算法)对汽车半轴DVA 参数进行优化。优化模型如式(8)所示,针对78 Hz 和127 Hz 出现的啸叫问题,设计2 个汽车半轴DVA,优化得到的DVA参数如表1所示。
3 固有频率预测与实测
某汽车半轴DVA由橡胶主簧和质量块硫化而成,见图6。采用Abaqus 软件对汽车半轴DVA 固有频率进行预测前,在Hypermesh软件中划分汽车半轴DVA的2件套网格,信息见表2。将汽车半轴DVA 的2 件套网格模型导入Abaqus 软件中,建立有限元模型,用直径28.2 mm 的轴模拟汽车右半轴,并将轴定义为Discrete rigid(刚性体)。橡胶硫化在质量块上,质量块与橡胶之间设为Tie 约束。传动轴与橡胶之间设置接触,根据工程经验,切向摩擦系数设为0.27,因切向不是DVA的工作向,摩擦系数的大小对固有频率预测结果影响很小。
实际装车时,为限制汽车半轴DVA左右移动,需要加装卡环,如图7所示。卡环的增加会使汽车半轴DVA 固有频率上升,从现场实测结果可以得知,加装卡环后,DVA 固有频率约上升10%,因此预测DVA 固有频率时,必须考虑卡环的影响。卡环装在DVA 后的直径为36 mm,加装卡环前,卡环安装处的橡胶直径为37.5 mm。为模拟卡环的作用,建立一个柱坐标系,与卡环接触的橡胶沿柱坐标系R向单边收缩-0.75 mm,然后读取与卡环接触的橡胶节点反力,橡胶每个节点反力为0.8 N;与卡环接触的每个橡胶节点上施加沿柱坐标系R 向-0.8 N的力,将位移转化为力,若直接施加位移量相当于卡环在绝对坐标系中固定,实际上卡环随传动轴上下跳动而跳动。有限元模型如图8所示。
求解汽车半轴DVA 固有频率时,分析步采用Abaqus中的Steady-state Dynamics Direc(t稳态动态分析方法)。施加载荷时,给传动轴0.1 g径向(整车坐标系的Y 向)加速度,在固有频率试验时同样施加0.1 g,读取质量块上任意一点的位移响应,位移峰值对应的频率即汽车半轴DVA的固有频率。
定义材料时,采用Abaqus 中的Mooney-Rivlin本构模型表征汽车半轴DVA橡胶材料的超弹性特征,采用Prony级数定义汽车半轴DVA橡胶材料的粘弹性特征。橡胶材料的超弹性材料参数和粘弹性材料参数可通过相关的力学试验获取。分析时,质量块采用45#钢,密度为7.85×10-9,弹性模量为210 GPa,泊松比为0.33;橡胶材料采用的材料参数如表3 所示。汽车半轴DVA 固有频率有限元预测结果如图9所示。
根据汽车半轴DVA 固有频率有限元预测结果,分别采用硬度为47 HA和62 HA的EPDM制作DVA,并在激振台上对其固有频率进行实测,如图10 所示。测试时,施加加速度恒为0.1 g 的激励。汽车半轴DVA固有频率有限元预测结果与实测结果的误差如表4所示,有限元预测结果与实测结果的相对误差小于8%,因此可以根据固有频率预测结果来指导DVA的实际生产,缩短调试时间。

4 动力吸振器装车效果验证
汽车半轴DVA装车后,从主观感受来说,转速约为2 400 r·min-1和3 800 r·min-1时不再出现轰鸣声。从测试结果图11 可以看出:加装汽车半轴DVA 后,转速约为2 400 r·min-1时,后排右耳噪声由56 dB下降为50 dB,前排右耳噪声由55 dB下降为48 dB;转速约为3 800 r·min-1时,后排右耳噪声由60 dB下降为55 dB,前排右耳噪声由59 dB下降为51 dB。司机座椅导轨的振动量在高速段减小了50%。加装汽车半轴DVA 有效解决了由汽车半轴引起的轰鸣声问题。

5 结论
1)充分考虑实际阻尼比的大小,运用多岛遗传算法优化DVA参数,减小了问题车的轰鸣声。
2)为防止DVA 左右移动,装车时加载卡环,使DVA 的刚度增加,从而使DVA 的固有频率上升。进行DVA 固有频率实测时须加装卡环,保证测试与装车条件一致,确保DVA减振、减噪效果。
3)建立汽车半轴DVA 有限元模型时,先建立一个柱坐标系,与卡环接触的橡胶沿着柱坐标系的R 向收缩一定的位移量,读取橡胶反力,再施加橡胶反力来模拟卡环的作用,通过激振台实测DVA固有频率进行验证,证明了有限元模型的准确性。
转载请注明来自海坡下载,本文标题:《半轴优化(动力吸振器在汽车半轴减振减噪上的应用)》
京公网安备11000000000001号
京ICP备11000001号
还没有评论,来说两句吧...