凸优化pdf(刚刚)

凸优化pdf(刚刚)

adminqwq 2026-01-08 信息披露 3 次浏览 0个评论

微软前AI副总裁兼杰出科学家Sebastien Bubeck发文表示GPT-5 Pro从零攻克了数学论文中的未解区间,这个发现让他大受震撼。该发现引得众多大佬转发,OpenAI总裁认为AI或将加速数学研究。

AI真的能解决人类的前沿问题吗?

比如类似庞加莱猜想、求解麦克斯韦方程、费马大定理、黎曼猜想等问题。

今天这个问题有了答案。

AI还真的可以!完全独立,不参考人类已有的任何方法。

昨晚,GPT-5 Pro可以从零开始完全求解一个复杂的数学问题。

刚刚,GPT-5 Pro自证全新数学定理,OpenAI总裁直呼颠覆,大佬们集体转发

并且再次强调,它没有使用任何人类此前的证明方法。

而它的答案比论文中的求解方法都要好。

刚刚,GPT-5 Pro自证全新数学定理,OpenAI总裁直呼颠覆,大佬们集体转发

不过值得人类庆幸的是,论文作者后面又提供了全新的方法超过了AI。

Sebastien Bubeck是OpenAI的研究工程师,此前曾担任微软人工智能副总裁兼杰出科学家。

他把一篇论文直接扔给了GPT-5 Pro。

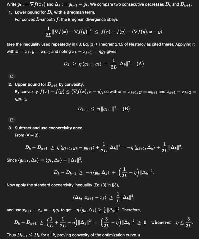
这篇论文研究了一个非常自然的问题:在光滑凸优化中,梯度下降法的步长η满足什么条件时,迭代点所对应的函数值形成的曲线是凸的?

刚刚,GPT-5 Pro自证全新数学定理,OpenAI总裁直呼颠覆,大佬们集体转发

论文地址:https://arxiv.org/pdf/2503.10138v1

在论文的v1版本中,他们证明了如果η小于1/L(L为光滑度),则可以得到此属性。

如果η大于1.75/L,作者他们就构造了一个反例。

因此,未解决的问题是:在区间[1/L,1.75/L]内会发生什么情况。

首先,简单解释下这个问题。

梯度下降就像下山,每一步要选一个步长η。L可以理解成地形的「弯曲程度」(越大越陡/越敏感)。

刚刚,GPT-5 Pro自证全新数学定理,OpenAI总裁直呼颠覆,大佬们集体转发

论文不只关心「会不会往下走」(单调下降),还关心下降的轨迹是不是「凸」的:也就是每一步的进步幅度不会忽大忽小,不会「前面像平台、后面突然跳崖」。

这对何时停下来很有用——凸就表示越来越平稳,不会突然又大降。

刚刚,GPT-5 Pro自证全新数学定理,OpenAI总裁直呼颠覆,大佬们集体转发

Sebastien用GPT-5 Pro去攻这个未解决区间,模型把已知下限从1/L推进到1.5/L。

以下是GPT-5 Pro给出的证明。

虽然初看不明觉厉,但整体证明过程看起来非常优雅。

刚刚,GPT-5 Pro自证全新数学定理,OpenAI总裁直呼颠覆,大佬们集体转发

本来这个发现让Sebastien兴奋了好一阵,甚至想要直接发一篇arXiv论文。

但是,人类还是比AI快了一步。

论文原作者很快发了v2版本,彻底收尾,他们将阈值改写1.75/L。

Sebastien认为这个发现依然非常令人鼓舞,为什么?AI不是并没有打败人类吗?

因为GPT-5 Pro在证明中,它试图证明的是1.5/L而不是1.75/L,这也表明GPT-5 Pro并没有直接去搜索v2版本。

另外,上述证明与v2的证明也非常不同,它更像是v1证明的一种演进。

这么看,现在的AI能力,不仅仅是博士级,很多时候都超过博士了。

这个发现也让很多大佬们表示,AI下一个可能改变和影响的就是数学领域。

在AI的帮助下,人类知识的边界将会再次被拓宽。

刚刚,GPT-5 Pro自证全新数学定理,OpenAI总裁直呼颠覆,大佬们集体转发

OpenAI的总裁Greg Brockman甚至表示这可能是AI在数学领域展现生命力的一种迹象。

刚刚,GPT-5 Pro自证全新数学定理,OpenAI总裁直呼颠覆,大佬们集体转发

此外,这次发现也和之前OpenAI官宣自己拿下IMO和IOI金牌不同。

这次攻破数学题的模型,就是面向用户的GPT-5 Pro版本,而不是内部推理模型。

刚刚,GPT-5 Pro自证全新数学定理,OpenAI总裁直呼颠覆,大佬们集体转发

Sebastien表示这个结论是经过自己25分钟验证。

作为前微软人工智能副总裁兼杰出科学家,他的证明应该没问题,看来AI确实实际证明了该数学问题。

刚刚,GPT-5 Pro自证全新数学定理,OpenAI总裁直呼颠覆,大佬们集体转发

GPT-5发布后虽然毁誉参半。

但是,GPT-5 Pro是真的达到,甚至超过了奥特曼所说的「博士级」AI。

虽然这次解决的问题还没有超过人类,但这种完全自主、自发现的能力苗头还是彰示了AI的能力。

这让我想起了流浪地球里的MOSS,也是自发现、自组织、自编程的AI。

Sebastien是一个很厉害的人。

他目前在OpenAI从事人工智能相关的工作。

刚刚,GPT-5 Pro自证全新数学定理,OpenAI总裁直呼颠覆,大佬们集体转发

在此之前,Sebastien曾担任微软的副总裁兼首席科学家,在微软研究院工作了10年(最初加入理论研究组)。

Sebastien还在普林斯顿大学担任了3年的助理教授。

在Sebastien的职业生涯的前15年里,他主要研究凸优化、在线算法以及机器学习中的对抗鲁棒性。

因这些研究工作多次获得最佳论文奖(包括STOC2023、NeurIPS2018和2021最佳论文奖、与微软研究院实习生合作获得的ALT2018和2023最佳学生论文奖、COLT2016最佳论文奖以及COLT2009最佳学生论文奖)。

他现在更加关注于理解智能是如何在大语言模型中涌现的,以及如何利用这种理解来提升大语言模型的智能水平,可能最终实现通用人工智能(AGI)。

Sebastien们将这种方法称为「AGI物理学」,因为他试图从不同的尺度(参数、神经元、神经元组、层、数据课程等)揭示AI系统各部分如何协同工作,从而产生这些模型惊人且出人意料的行为。

看起来,像Sebastien这样的数学家、科学家们正在致力于尝试破解大模型的黑箱之谜。

希望AI在拓展人类认知边界的同时,人类也能破解大模型的秘密。

参考资料:

https://x.com/Sebastien%20Bubeck/status/1958198661139009862

本文来自“新智元”,作者:新智元,编辑:定慧,36氪经授权发布。

转载请注明来自海坡下载,本文标题:《凸优化pdf(刚刚)》

每一天,每一秒,你所做的决定都会改变你的人生!

发表评论

快捷回复:

评论列表 (暂无评论,3人围观)参与讨论

还没有评论,来说两句吧...