关键链法优化(关键路径法和关键链法)

关键链法优化(关键路径法和关键链法)

adminqwq 2026-01-07 社会资讯 16 次浏览 0个评论

关键路径法和关键链法都是进度编制中的核心工具。在PMBOK中虽有介绍但是比较晦涩。网络上和书上也有很多将这两者对比的文章,大家可以参考。

但是今天用一个简单的例子讲给大家,如果大家把这个案例看懂了,对于PMP考试和一般的实战足够了。但是如果大家想要写论文的话,建议大家还是参考大师们的著作。

1. 关键路径法:

关键路径法是在进度计划编制中,估算项目最短完工工期,确定逻辑网络路径的进度灵活性大小的一种方法。这种进度网络分析技术在不考虑任何资源限制的情况下,沿进度网络路径顺推与逆推分析,计算出所有活动的最早开始、最早结束、最晚开始和最晚结束日期。

例题:A是里程碑,活动B的工期为2天,紧前为A;活动C的工期为3天,紧前为A;活动D的工期为5天,紧前为B和C;活动E的工期为2天,紧前为C;活动F的工期为1天,紧前为D和E;G是里程碑,紧前为F。逻辑关系均为默认的FS逻辑关系。

转化为表格如下:

关键路径法和关键链法

根据以上信息,可以绘制出以下网络图。

关键路径法和关键链法

根据关键路径的计算方法,首先从前往后计算,得出如下结果:

关键路径法和关键链法

第二步,从后往前计算,得出如下结果:

关键路径法和关键链法

因此可以看出,ACDFG是项目的关键路径。也可以得出每个活动的总浮动时间,也就是TF=LS-ES=LF-EF。

关键路径法和关键链法

所以,项目经理要关注总浮动时间的变化情况,一旦总浮动时间变小,就意味着该活动延迟了,或者该活动的紧前活动(们)延迟导致了该活动延迟。

相信大家对关键路径法的计算都是比较清楚的。

2. 关键链法:

通过以上关键路径的计算,可以看出来有些活动是有总浮动时间的,比如B和E活动,分别有1天和3天的总浮动时间。意味着B活动往后延迟一天不会对项目在第9天完成造成影响;意味着E活动可以延迟三天也不会对项目在第9天完成造成影响,也就是说E活动可以在第3天,第4天,第5天,第6天开始都不会对项目在第9天完成造成影响。(有点啰嗦哈,没办法为了把问题讲清楚,请原谅)

以E活动为例,做E活动的人(小明),是不是有可能会有这种想法,哥们今天心情不好,我就想第5天开始做。你作为项目经理可能会问,你怎么没有按时开始,此时小明完全可以说E活动有总浮动时间,我可以延迟开始啊,只要我的延迟开始不超过3天的总浮动时间就行了啊。项目经理似乎也没有反驳的理由。但是往往在实战中会出现这种情况:E活动在做计划的时候只要2天完成,但是等到咱们实际去做的时候,你会发现E活动的难度远远超出了咱们计划时候的想象,完全有可能花4天的时间才能完成。也就是以下情况:

关键路径法和关键链法

因此你会发现,整个项目的工期变成了10天,也就是延误了一天。是不是忽然觉得项目经理很苦逼?

其实说了半天,大家发现小明是有懒癌的(也就是拖延症,或者叫帕金森综合征或者小学生综合征)。

那么作为一位优秀的PMP,你该如何办呢?此时你就可以考虑使用关键链法了:

关键链法(CCM)是一种进度规划方法,允许项目团队在任何项目进度路径上设置缓冲,以应对资源限制和项目不确定性。这种方法建立在关键路径法之上,考虑了资源分配、资源优化、资源平衡和活动历时不确定性对关键路径(通过关键路径法来确定)的影响。关键链法引入了缓冲和缓冲管理的概念。

还是以上面的案例来讲解:

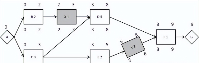
如果作为项目经理的你,在使用关键路径法编制完进度计划后,你发现B活动有1天、E活动是有3天的总浮动时间的,此时你就可以考虑加虚活动(专业名字叫缓冲buffer,这里为了好理解,暂且就叫虚活动)。

也就是如下的网络图:用阴影部分表示虚活动。

关键路径法和关键链法

此时你会发现,所有的活动都变成了关键活动,也就是说每个活动都要按时开始、按时结束否则就会导致项目延迟。

因此做E活动的小明,也不会再有理由来延迟开始工作了。但是仍然还是可能会遇到E活动比预想的要难的情况,也就是还是有可能要花4天才能完成,此时E活动将在第7天完成。

关键路径法和关键链法

根据网络图,似乎导致项目会延期两天。但是此时由于Y活动是虚活动(缓冲buffer)也就是根本不存在的活动。看起来似乎虚活动Y 的工期被吃掉了两天。所以,F活动第8天开始是不会受到影响的,也就是说项目第9天完成是不会受到影响的。

其实说了半天,也就是一句话:项目经理把本来属于单个活动的总浮动时间拿过来放在自己口袋里作为了一种应对延迟风险的缓冲。

因此项目经理此时就要重点关注剩余的缓冲了。如果剩余的任务越多,缓冲就得多放一点,就像你去火车站赶火车一样,距离越远提前的时间量就要越多一样。

不知道通过这样的案例讲解,你是否弄懂了呢?

需要项目管理资料合集的同学可先关注然后私信我哦

关键路径法和关键链法

转载请注明来自海坡下载,本文标题:《关键链法优化(关键路径法和关键链法)》

每一天,每一秒,你所做的决定都会改变你的人生!

发表评论

快捷回复:

评论列表 (暂无评论,16人围观)参与讨论

还没有评论,来说两句吧...