约束优化方法(约束优化的万能钥匙拉格朗日乘数法)

约束优化方法(约束优化的万能钥匙拉格朗日乘数法)

adminqwq 2025-12-01 社会资讯 35 次浏览 0个评论

是时候该学点偏导数了。(具体操作超级简单,一学就会。)

约束优化的万能钥匙—拉格朗日乘数法

今天我们继续说关于拉格朗日的“四大邪术”之拉格朗日乘数法。

在解决高中数学的不等式问题,或者最值问题时,会出现一个奇怪的现象:简单的是真简单,一“凑”就行;难的也是真难,怎么凑都不行。于是,考场上就会抓耳挠腮,影响进度,从而影响后面的心态。

但是我敢说,拉格朗日乘数法(简称“拉乘”)能将你从上述的泥潭中拯救出来,并成为你解决最值、优化等问题的“终极钥匙”。俗话说:年少不知拉格朗日香,错把配凑方法当良方。从高考的小题到大千世界的复杂决策,都藏着它的身影。

拉格朗日其人其事

约瑟夫・路易・拉格朗日(Joseph-Louis Lagrange,1736 年 1 月 25 日-1813 年 4 月 10 日)出生于意大利都灵的一个法国裔家庭,自幼便展现出过人的数学天赋。17 岁时,他仅凭一篇关于声波传播的论文就引起了数学界的关注,20 岁便成为都灵皇家炮兵学院的数学教授。

约束优化的万能钥匙—拉格朗日乘数法

本尊

这位横跨18、19世纪的数学巨匠,不仅是分析力学的奠基人,更是微积分发展史上的关键人物——正是他当年一眼识破泰勒公式的深层价值,将其誉为 “导数计算的基础”。1788年,拉格朗日在其传世名著《分析力学》中系统提出了 “拉格朗日乘数法”,将约束条件下的极值求解问题转化为无约束的方程组求解,为数学优化领域开辟了全新路径。

拉格朗日的学术生涯遍布欧洲,先后在柏林科学院、巴黎科学院任职,参与过法国大革命后的度量衡改革,与欧拉、拉普拉斯等大师并称为 “18 世纪数学三巨头”。他的研究横跨数学、物理、天文等多个领域,但拉格朗日乘数法凭借其简洁性和普适性,成为流传最广、应用最久的经典方法之一。

约束优化的万能钥匙—拉格朗日乘数法

拉格朗日乘数法的核心智慧

其实说透了,拉格朗日乘数法的思路特别朴素:现实中的很多问题都不是 “随心所欲” 的 —— 比如想让长方形面积最大,却受限于周长固定;想让产品利润最高,却受限于原材料总量;想让运动轨迹最优,却受限于物理定律约束。这些 “带着镣铐跳舞” 的问题,用传统的配方法、判别式法往往步骤繁琐,甚至无从下手。

而拉格朗日乘数法的精髓,就是 “化约束为自由”:通过引入一个(或多个)虚拟的 “乘数”λ(拉格朗日乘数),将约束条件与目标函数 “捆绑” 成一个新的无约束函数(拉格朗日函数),然后通过求导找极值的常规操作,就能轻松破解原问题。这完美体现了数学中 “转化与化归” 的核心思想,让复杂的约束优化问题变得有章可循。

核心公式与适用场景基础形式(二元函数+单个约束)约束优化的万能钥匙—拉格朗日乘数法

扩展形式(n 元函数+多个约束)约束优化的万能钥匙—拉格朗日乘数法

高考中的“秒杀”应用

高考数学中的最值问题(尤其是解析几何、不等式、应用题中的约束最值),传统方法往往需要繁琐的参数转换、配凑技巧,而拉格朗日乘数法能直击核心,1分钟出答案。

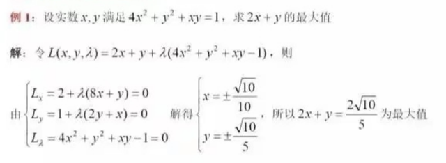
例 1:2023 年某省高考模拟卷第 16 题约束优化的万能钥匙—拉格朗日乘数法

拉格朗日解法:

约束优化的万能钥匙—拉格朗日乘数法

例 2:2022 年某省高三模拟卷第 12 题(多选)

拉格朗日解法:

约束优化的万能钥匙—拉格朗日乘数法

对于基础薄弱、不熟悉均值不等式技巧的学生,拉格朗日乘数法堪称 “保底神器”。

高等数学中的 “降维打击”

拉格朗日乘数法在高等数学中的应用更是如鱼得水,尤其在多元函数微积分、经济学、物理学中,几乎是约束极值问题的 “标准解法”。

约束优化的万能钥匙—拉格朗日乘数法

三元

再比如经济学中的 “效用最大化” 问题:消费者的效用函数为U=xy,预算约束为2x+3y=12(x、y 为两种商品的数量,价格分别为2和3,总收入12),用拉格朗日乘数法可快速求得x=3, y=2时效用最大,这比传统的代入法简洁得多。

结语

拉格朗日乘数法的伟大之处,在于它用一种统一的数学框架,解决了从高考小题到科研难题的各类约束优化问题。它没有复杂的逻辑跳转,只需遵循 “构造函数—求偏导—解方程组” 的固定流程,就能将看似棘手的问题转化为常规计算。

就像拉格朗日当年为泰勒公式正名一样,他发明的这把 “万能钥匙”,也打开了约束优化的大门——让我们明白,数学的终极魅力不在于技巧的堆砌,而在于用简洁的思想化解复杂的矛盾。从高考考场的争分夺秒,到科研领域的深度探索,拉格朗日乘数法始终用它的普适性和高效性,证明着自己 “约束优化第一法” 的地位。

转载请注明来自海坡下载,本文标题:《约束优化方法(约束优化的万能钥匙拉格朗日乘数法)》

每一天,每一秒,你所做的决定都会改变你的人生!

发表评论

快捷回复:

评论列表 (暂无评论,35人围观)参与讨论

还没有评论,来说两句吧...