冲压机优化(通过优化共振能量传递系统)

冲压机优化(通过优化共振能量传递系统)

adminqwq 2025-11-24 社会资讯 44 次浏览 0个评论

麻烦看官老爷们右上角点击一下“关注”,方便您进行讨论和分享,感谢您的支持!

本头条号已与维权骑士签约,搬运必追究!

通过优化共振能量传递系统,提升冲压机的工作性能和系统动态特性

通过优化共振能量传递系统,提升冲压机的工作性能和系统动态特性

文丨江柊留声机

编辑丨江柊留声机

通过优化共振能量传递系统,提升冲压机的工作性能和系统动态特性

能源的高效利用一直是工程领域的重要研究方向之一,在机械系统中,尤其是在冲压领域,如何最大限度地减少能量损失、提高能源利用效率,一直是工程师们不断探索的课题,而机械共振现象作为一种潜在的能量提取方式引起了人们的关注。

本文着眼于利用机械共振现象在共振冲压机中的应用,共振冲压机通过合理的设计和控制,实现了在共振状态下对能量的顺序提取,从而有效地增强了冲压过程的能源利用效率。

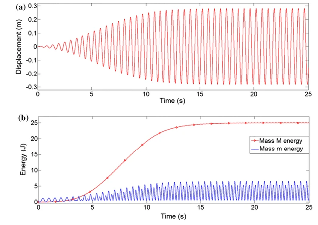
在共振情况下,振荡器的能量可以被顺序地提取出来。当外部负载加在振荡器上时,位移幅度会减小到最小值,随后在一段定义的时间内,并根据阻尼情况,会增加到最大值。

通过优化共振能量传递系统,提升冲压机的工作性能和系统动态特性

通过优化共振能量传递系统,提升冲压机的工作性能和系统动态特性

共振时序能量提取及其对系统动态特性的影响研究

在t = 0 时,振荡器开始以共振频率振动,在t1时刻,小车的位移达到最大振幅,能量的吸收正式开始。

直到t2时刻,能量的接收停止。从t2到t3,小车的位移振幅逐渐恢复到最大值,并且该过程会以周期T重复,该周期取决于阻尼常数和振荡器的角频率。

通过优化共振能量传递系统,提升冲压机的工作性能和系统动态特性

能量ER = Emax - Emin 可以在时间间隔Δt = t2 - t1 内被提取出来。提取的最大能量与时间间隔Δt越短,提取的能量就越大。

能量的提取会影响稳定传递到旋转杆质量的能量过程。在时间间隔Δt内,能量幅度下降后,供应的能量逐渐增加,直到达到最大值,从而使小车的能量达到最大值。

通过优化共振能量传递系统,提升冲压机的工作性能和系统动态特性

这种在共振时顺序提取能量的过程可以分为以下几个步骤:

当外部负载加在振荡器上时,振荡器的位移幅度会逐渐减小,直至达到最小值。随后,在一段定义的时间内,根据阻尼情况,位移幅度会增加,直至达到最大值。

通过优化共振能量传递系统,提升冲压机的工作性能和系统动态特性

在t = 0 时刻,振荡器开始以共振频率振动,同时小车的位移幅度开始增加。

当时刻达到t1时,小车的位移幅度达到最大值,能量开始被转移到小车中,并持续到t2时刻,然后能量的接收停止。

通过优化共振能量传递系统,提升冲压机的工作性能和系统动态特性

在t2 到 t3 的时间间隔内,小车的位移幅度逐渐恢复到最大值,然后整个过程会以周期T重复,该周期取决于阻尼常数和振荡器的角频率。

能量ER = Emax - Emin 可以在时间间隔Δt = t2 - t1 内被提取出来,其中Emax 是能量的最大值,Emin 是能量的最小值。

通过优化共振能量传递系统,提升冲压机的工作性能和系统动态特性

通过缩短时间间隔Δt,可以提取更多的能量,因此提取的能量与时间间隔的长度成反比。

需要注意的是,能量的提取会影响稳定传递到旋转杆质量的能量过程。在时间间隔Δt内,能量幅度会下降,但随后能量的供应会增加,直至达到最大值,从而使小车的能量达到最大值。

这种顺序提取能量的过程在共振时具有重要意义,并且能量的提取会对系统的动态特性产生影响。

通过优化共振能量传递系统,提升冲压机的工作性能和系统动态特性

通过优化共振能量传递系统,提升冲压机的工作性能和系统动态特性

基于振动能量顺序提取的共振系统性能分析与实验验证

下图展示了一个为了验证理论考虑而创建的单质量振荡器。该装置包括质量M(1)、线性轴承系统(2)、两个弹簧组(3)和连接到坚固基座上的框架(4)。

通过激振质量(5)的旋转来引入激励力,该质量与放置在质量M顶部的直流电机(6)耦合。驱动角速度由施加到直流电机的电压控制。

通过优化共振能量传递系统,提升冲压机的工作性能和系统动态特性

当旋转杆质量的角频率接近系统的共振频率时,质量M的振幅显著增加。小车的位置是通过光学位移传感器进行评估的。为了提取积累在小车质量M中的功率,使用了带有制动系统的试验架。

通过优化共振能量传递系统,提升冲压机的工作性能和系统动态特性

一种齿轮齿条系统与小车相连。小齿轮设置在一个由基座支持的轴上。轴的另一端装备有一个夹紧制动系统。

夹具由操作员手动控制,一个全桥应变计被放置在小齿轮轴上,在齿轮齿条和制动盘之间。小齿轮轴悬挂在一个轴承组件上。

为了确定供给振荡器的功率PEM(t),测量了电机上的电压uA(t)和电流i(t),以获得电机输入功率。

通过优化共振能量传递系统,提升冲压机的工作性能和系统动态特性

在电机的输出轴上装有编码器,用于测量转速和角位移。基于这些测量值,可以计算出电机的机械输出功率。

小车的位移对应于小齿轮的角速度变化,该角速度是基于小齿轮齿条的线速度和小齿轮的分度直径计算得出的。这两个值被用于根据下方公式计算机械功率:

通过优化共振能量传递系统,提升冲压机的工作性能和系统动态特性

随后连接了一个1欧姆的电阻到电机的电源线上,以计算电流为:

通过优化共振能量传递系统,提升冲压机的工作性能和系统动态特性

其中uB(t)是电阻R = 1欧姆上的电压。

电机的效率是通过测量角速度和外部负载来确定的,条件类似于图4所示的实验振荡器在共振状态下的条件。供给给振荡器的能量EIN被计算为:

通过优化共振能量传递系统,提升冲压机的工作性能和系统动态特性

在测量过程中,振荡器以共振频率激励。当振荡的振幅达到最大值时,通过制动夹具施加外部负载。

负载扭矩通过安装在小齿轮和制动器之间的全桥应变计进行测量。轴的角速度由小车的线速度和小齿轮的半径确定。从振荡器中提取的瞬时机械功率由以下公式计算:

通过优化共振能量传递系统,提升冲压机的工作性能和系统动态特性

小车速度是通过测量获得的位移的导数。弹簧刚度、质量值、小车位移和速度的信息被用来比较小车和旋转杆质量的能量。

通过优化共振能量传递系统,提升冲压机的工作性能和系统动态特性

小车质量的位移幅度减小与负载脉冲的持续时间密切相关。对于较长的脉冲持续时间,小车的振荡会明显减小。

因此,在一个周期内,小车的位移不应该减小到某个特定值以下,以实现在共振时最大幅度的快速恢复时间。

通过优化共振能量传递系统,提升冲压机的工作性能和系统动态特性

负载以持续一小段时间的重复脉冲形式施加,在脉冲序列的情况下,小车位移的振幅变化相对较小。在释放负载后,振幅开始重新增加,每2秒恢复到最大共振值。

小车质量位移幅度的减小与负载脉冲的持续时间密切相关。对于较长的负载脉冲持续时间,小车的振荡会明显减小。

通过优化共振能量传递系统,提升冲压机的工作性能和系统动态特性

因此,在一个周期内,小车的位移不应该减小到某个特定值以下,以实现在共振时最大幅度的快速恢复时间。

对于小齿轮的负载也可以通过电动发电机在电方面进行考虑。在这种情况下,输出功率将作为发电机的电功率来测量。

通过优化共振能量传递系统,提升冲压机的工作性能和系统动态特性

基于共振能量传递的高效冲压机设计与性能对比研究

这个共振冲压机的主要部件是共振块,它安装在附着在设备外壳上的线性轴承系统上。

共振块还通过一组弹簧与外壳相连接。主要部件的振动可以通过旋转质量引起的惯性力或液压、气动或电动执行器的作用来诱发。

通过优化共振能量传递系统,提升冲压机的工作性能和系统动态特性

积累在共振块中的能量可以通过激活离合控制系统传递给冲压工具,这个系统会在设定的振动幅度触发。

在进行冲压操作后,离合会自动解除连接,以增加振动幅度到所需的值,并周期性地重复冲压过程。提供给共振块的能量将用于弥补摩擦力造成的损失。

恢复振动幅度并积累最大能量所需的时间主要取决于激励力的幅度和系统的阻尼。

通过优化共振能量传递系统,提升冲压机的工作性能和系统动态特性

这个共振冲压机的设计意图在于利用振动能量来驱动冲压工具,从而提高冲压的效率。共振块在受到激励力后会产生振动,而这种振动能够通过离合系统传递给冲压工具,从而实现冲压操作。

在冲压操作后,离合会解除连接,振动幅度会重新增大,以准备下一次的冲压操作。通过这种方式,能量的累积和释放被有效地控制,以实现高效的冲压过程。

通过优化共振能量传递系统,提升冲压机的工作性能和系统动态特性

共振块振动幅度的大幅减小可能会显著增加重建足够振动所需的时间,类似于偏心机器中的飞轮扭矩,其减小不应超过10%。

在大多数冲击式操作机器中,能量的周期性接收发生在工作过程中,例如冲压操作或在薄板金属中冲孔。

通过优化共振能量传递系统,提升冲压机的工作性能和系统动态特性

在偏心冲压机中,执行冲压过程所需的能量存储在飞轮中。机械共振也可以在其他机器中使用,如冲压机、冲击锻锤和钻床。

共振块的振荡是通过旋转质量诱发的。输入功率是通过电动机通过减速齿轮箱提供的。在共振块达到最大动能值时,冲压过程被激活。

冲头通过控制离合器与共振块耦合,该离合器仅在冲压过程中连接。离合器的激活和解除激活发生在设定的振动幅度下,由机械触发器控制。

通过优化共振能量传递系统,提升冲压机的工作性能和系统动态特性

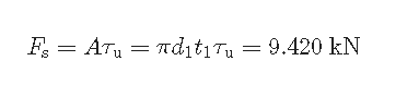
冲压一块直径为d1、厚度为t1的钢板所需的力可以从以下公式计算得出:

通过优化共振能量传递系统,提升冲压机的工作性能和系统动态特性

其中A是切割的面积;d1 = 10 mm — 冲孔孔径;t1 = 1 mm — 板材厚度;τu = 300 MPa — 极限剪切应力。

对于一个质量为12 kg的共振块,悬挂在总刚度为3980 N/m的4个弹簧上,振荡器的固有频率将为2.8 Hz。振幅的最大值Amax,取决于阻尼,将被假设为0.11 m。

通过上述描述的共振冲压机可以实现的力为:

通过优化共振能量传递系统,提升冲压机的工作性能和系统动态特性

这个值大约是冲孔所需力(9420 N)的2倍。重要的是,在工作周期结束后,共振块的振幅不应该下降到一个特定值以下,否则恢复到最大振幅会需要更长的时间。在飞轮偏心冲压机的情况下也适用类似的规则,其中飞轮的速度波动比需要低于10%。

在传统冲压机中,执行冲压所需的能量存储在飞轮中。假设一个环形质量飞轮,其动能定义为:

通过优化共振能量传递系统,提升冲压机的工作性能和系统动态特性

当r=Amax时,振荡器和飞轮的能量是相等的;飞轮和振荡器具有相等的质量,并且激励元件的角速度对于两种情况是相同的。

在稳定共振条件下,供给给振荡器的平均能量等于耗散的能量,且比在振荡器中积累的能量要低几倍,施加给飞轮的能量被定义为飞轮的动能。

通过优化共振能量传递系统,提升冲压机的工作性能和系统动态特性

在共振状态下,振荡器的惯性力通过弹簧产生的力平衡,因此电动机主要用于覆盖轴承组件中的摩擦力。对于飞轮来说,在冲压过程中需要克服工艺力、飞轮的惯性力和飞轮轴承的摩擦力。

在偏心冲压机的飞轮)驱动中,包括电动机和皮带传动。在电动机上产生的机械功率被传递到飞轮上,飞轮设置在偏心轴上,该轴驱动连接到滑块上设置的曲柄,曲柄又与冲头组件相连接。

通过优化共振能量传递系统,提升冲压机的工作性能和系统动态特性

在对比两种冲压机进行实验时,工艺参数如冲头直径、材料类型、板材厚度以及冲压过程的进行方式都是相同的。

加工的板材在冲压装置中稳定移动,允许顺序操作,并在每次冲压时提供模具和板材的完全接触面积。

通过优化共振能量传递系统,提升冲压机的工作性能和系统动态特性

通过调整两种冲压机的工作参数,使得共振冲压机中积累的能量可与传统偏心冲压机中的飞轮能量进行比较。

在最大振幅Amax = 0.11 m时,共振块中积累的能量如下:

通过优化共振能量传递系统,提升冲压机的工作性能和系统动态特性

储存在半径为r = 0.126 m的飞轮中的动能为:

通过优化共振能量传递系统,提升冲压机的工作性能和系统动态特性

在共振冲压机中使用的直流电动机功率被定义为测量电机端子的均方根电流和电压值:

通过优化共振能量传递系统,提升冲压机的工作性能和系统动态特性

其中Urms为有效电压值;Irms为有效电流值。

驱动偏心冲压机的交流电动机供给的功率是通过三相瓦特表进行测量的,共振冲压机的功耗比偏心冲压机低了2.86倍。

通过优化共振能量传递系统,提升冲压机的工作性能和系统动态特性

由于偏心冲压机中使用的电机并没有针对最低能耗进行优化,因此需要进行更多的调查和进一步的测试。由于在飞轮到冲头驱动链中进行了旋转到往复运动的转换,偏心冲压机的能量损失更大。

两种冲压机中的能量损失比较后的结果表明,偏心冲压机存在更多潜在的能量损失点,偏心冲压机的设计复杂性明显比共振冲压机高得多。

通过优化共振能量传递系统,提升冲压机的工作性能和系统动态特性

对于在模拟和实验中观察到的能量波形的分析得出以下结论:

在共振的稳定状态下,振荡质量吸收的总能量等于由于阻尼而损失的能量。

能量在振荡器中积累,就像在飞轮的情况下一样,并且可以是连续供给给系统的能量的数倍。

在共振系统的情况下,可以通过高值力脉冲的形式进行能量的顺序提取。力脉冲值和在共振时从振荡器获得的功率增益由工作频率和阻尼比定义。

转载请注明来自海坡下载,本文标题:《冲压机优化(通过优化共振能量传递系统)》

每一天,每一秒,你所做的决定都会改变你的人生!

发表评论

快捷回复:

评论列表 (暂无评论,44人围观)参与讨论

还没有评论,来说两句吧...