电机优化设计(哈工大罗俊团队特稿双交替极横向磁通直线电机的优化与设计)

电机优化设计(哈工大罗俊团队特稿双交替极横向磁通直线电机的优化与设计)

adminqwq 2025-11-23 信息披露 27 次浏览 0个评论

团队介绍

哈工大罗俊团队特稿:双交替极横向磁通直线电机的优化与设计

罗俊,博士研究生,研究方向为新型永磁直线电机的建模与优化设计。曾参与包含国家科技重大专项、国家自然科学基金在内的横纵向科技项目10余项,发表SCI、EI论文7篇,申请国家发明专利11项。

哈工大罗俊团队特稿:双交替极横向磁通直线电机的优化与设计

寇宝泉,哈尔滨工业大学教授,博士生导师,工学博士,IEEE会员,中国电工技术学会高级会员。获2005年度教育部技术发明一等奖1项,获2006年度国家技术发明二等奖1项,获第六届国际发明展览会银奖2项,获第十九届全国发明展览会银奖1项,获2014年度教育部技术发明二等奖1项。2008年入选教育部“新世纪优秀人才支持计划”。致力于直线电机与平面电机系统技术、分布式能源发电及能量存储技术、磁悬浮及电磁推进技术的研究。近年来获授权国家发明专利130余项。

导语

本文提出一种双交替极横向磁通直线电机结构,在其初级和次级侧均安置永磁体,充分利用了电机内部空间,提高了与绕组交链的永磁磁通,进而提高了电机推力密度。介绍了该电机的基本结构和运行原理,并推导电机主要尺寸与电磁力之间的关系式。

通过三维有限元法研究不同结构参数对电机推力密度的影响规律,在此基础上,设计并研制一台实验样机。通过对样机的三相反电动势和静推力进行测量,并与有限元仿真结果进行对比,实验数据与仿真结果之间具有较好的吻合度。

研究背景

近年来,在工业自动化领域,以直线电机驱动系统代替传统旋转电机加中间转换装置的间接传动方式,可以使得系统具有高精度、高速度、高效率、高可靠性等优点。而高性能高品质的直线电机是直线电机驱动系统的核心部件。

传统纵向磁通直线电机受限于磁路与电路之间的矛盾,难以进一步提高电机推力密度。而横向磁通直线电机集合了横向磁通电机推力密度高和直线电机能直接驱动负载做直线运动的优势,十分适合应用于精密运动控制领域。因此,研究高推力密度的横向磁通直线电机具有迫切的应用需求。

论文方法及创新点

本文所研究的新型双交替极横向磁通直线电机结构如图1所示。在电机初级和次级均放置了永磁体,且所有永磁体的充磁方向相同。在空载条件下,初级永磁体和次级永磁体产生的有效磁通均与绕组相交链,相对于单边励磁的横向磁通直线电机,DCP-TFLM能够获得更高的推力密度。

单相DCP-TFLM不具有自起动能力,且推力波动较大,因此通常将横向磁通电机设计为多相结构。将m个电机初级沿着运动方向依次错开(2kτ+2τ/m)的距离排列(其中,k为任意正整数,τ为电机极距),可以构成m相DCP-TFLM电机结构。图2所示为四个典型位置处某一初级齿截面上永磁体磁通的分布。

哈工大罗俊团队特稿:双交替极横向磁通直线电机的优化与设计

图1 DCP-TFLM的基本结构

哈工大罗俊团队特稿:双交替极横向磁通直线电机的优化与设计

图2 DCP-TFLM工作原理

本文以平均电磁推力与气隙有效面积的比值为目标函数,通过三维有限元法分别分析极距、安匝数、永磁体厚度、初次级齿宽系数以及槽口尺寸对电机推力密度的影响规律。电机的主要尺寸定义如图3所示。

哈工大罗俊团队特稿:双交替极横向磁通直线电机的优化与设计

图3 DCP-TFLM的结构尺寸定义

图4所示为不同气隙长度下,极距变化对电机推力密度的影响规律。随着极距的减小,电机推力密度呈现出先增大后减小的趋势。这是由于随着极距减小,永磁体漏磁通增加,使得与绕组交链的主磁通减少。当减小极距带来的频率提升倍数无法弥补有效磁通的减小时,电机推力密度将随着极距的减小而降低。

哈工大罗俊团队特稿:双交替极横向磁通直线电机的优化与设计

图4 极距对推力密度影响

哈工大罗俊团队特稿:双交替极横向磁通直线电机的优化与设计

图5 安匝数对推力密度影响

图5所示为电机推力密度随初级齿上施加的安匝数变化的变化趋势。随着安匝数的增加,电枢反应磁动势增强,电机推力密度逐渐增大。但当电枢磁动势增大到一定程度以后,由于铁心中磁通密度趋于饱和,电机推力密度也逐渐趋于饱和。

不同气隙、不同极距下,电机推力密度都在安匝数大于1000A后进入饱和状态,这说明使得电机饱和的主要原因是横向磁通电机中绕组电感大,电枢反应磁场作用使得铁心饱和。总的来说,为了使得电机推力密度最大化,同时避免铁心出现饱和,每个初级齿上施加的总安匝数变化范围宜取为600~800A。

哈工大罗俊团队特稿:双交替极横向磁通直线电机的优化与设计

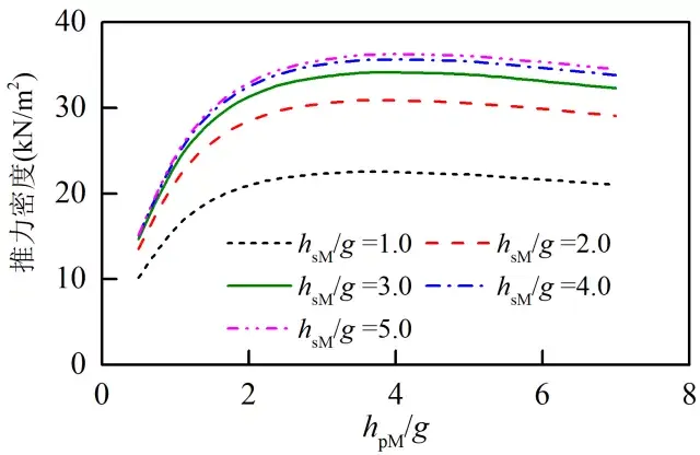
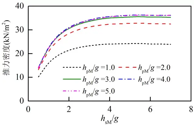
图6 初级永磁体厚度影响

哈工大罗俊团队特稿:双交替极横向磁通直线电机的优化与设计

图7 次级永磁体厚度影响

图6、图7所示为初级永磁体厚度变化和次级永磁体厚度变化对电机推力密度的影响规律。初级永磁体厚度和次级永磁体厚度对电机推力密度的影响规律是相似的。随着永磁体厚度的增加,电机推力密度呈现出先增大然后趋于饱和的变化趋势。初级永磁体厚度和次级永磁体厚度对电机推力密度的影响是相互独立的。

哈工大罗俊团队特稿:双交替极横向磁通直线电机的优化与设计

图8 初级齿宽系数影响

哈工大罗俊团队特稿:双交替极横向磁通直线电机的优化与设计

图9 次级齿宽系数影响

图8、图9所示分别为初级齿宽系数和次级齿宽系数变化对电机推力密度的影响规律。随着调制齿宽度的减小,电机推力密度呈现出先增大后减小的变化趋势。初级齿宽系数和次级齿宽系数对推力密度的影响规律是相互独立的。

在不同次级齿宽系数下,初级齿宽系数在0.85~0.9的区间内,电机推力密度取得最大值。随着初级齿宽系数的进一步减小,电机推力密度迅速降低。在不同初级齿宽系数下,次级齿宽系数在0.7~0.8的区间内,电机推力密度取得最优值。

哈工大罗俊团队特稿:双交替极横向磁通直线电机的优化与设计

图10 槽口尺寸对推力密度影响

图10所示为槽口尺寸变化时电机推力密度的变化规律。随着初级齿靴宽度增加,槽口宽度ws0减小,电机初级和次级之间的耦合面积增大,横向耦合系数提高,将有利于电机推力密度的提高。

槽口高度hs0也在一定程度上影响着电机推力密度,这是由于当槽口高度较小时齿靴尖端铁心将出现饱和,不能有效引导永磁磁通进入初级齿中。当增大槽口高度,可以使得槽口附近永磁磁通进入到初级齿中。根据图中所示,槽口高度hs0>2mm时,电机推力密度几乎保持不变,而槽口宽度ws0<4mm以后,电机推力密度也不再继续增加。

总结

本文针对一种新型双交替极横向磁通直线电机展开了研究,从建立的主要尺寸方程出发,通过三维有限元法分析了电机极距、气隙、每个齿上安匝数、永磁体厚度、齿宽系数以及槽口参数对电机推力密度的影响规律。结果表明,横向磁通直线电机依赖于结构上的电磁解耦特性,可以通过减小极距提升运行频率的方式来进一步提高推力密度,但牺牲了电磁材料利用率。

引用本文

罗俊, 寇宝泉, 杨小宝. 双交替极横向磁通直线电机的优化与设计[J]. 电工技术学报, 2020, 35(5): 991-1000. Luo Jun, Kou Baoquan, Yang Xiaobao. Optimization and Design of Dual-Consequent-Pole Transverse Flux Linear Machine. Transactions of China Electrotechnical Society, 2020, 35(5): 991-1000.

转载请注明来自海坡下载,本文标题:《电机优化设计(哈工大罗俊团队特稿双交替极横向磁通直线电机的优化与设计)》

每一天,每一秒,你所做的决定都会改变你的人生!

发表评论

快捷回复:

评论列表 (暂无评论,27人围观)参与讨论

还没有评论,来说两句吧...