平滑凸优化(GPT5 Pro独立做数学研究)

平滑凸优化(GPT5 Pro独立做数学研究)

adminqwq 2025-11-15 社会资讯 99 次浏览 0个评论

AI已经能够自主思考并证明新的数学规律了?

OpenAI研究人员表示,自己喂给GPT-5 Pro一篇论文,结果模型读完之后得到了新的结论。

在凸优化问题当中,GPT-5 Pro针对一个边界问题,给出了比原文更加精确的阈值和相应证明。

消息立即引发全网热议,不到半天推文就有230多万次阅读。

GPT-5 Pro独立做数学研究,读论文后给出更精确边界,OpenAI总裁:这是生命迹象

不过这位研究人员并没有将GPT-5 Pro的研究成果发表成论文,理由是被人类抢先了——

这篇论文后来又更新了一个版本,给出了新的边界,这个新的边界又把GPT-5 Pro反超了。

但是,GPT-5 Pro的证明思路与此并不相同,说明它已经具备了独立探索的能力,所以人类的反攻也不影响这是GPT-5 Pro的一个新突破。

OpenAI总裁Brockman甚至将这一成果称之为“生命迹象”。

GPT-5 Pro独立做数学研究,读论文后给出更精确边界,OpenAI总裁:这是生命迹象凸优化曲线是凸的吗?

喂给GPT-5 Pro的这篇另论文,研究的是凸优化(convex optimization)问题,凸优化是数学最优化的一个子领域,研究定义于凸集中的凸函数最小化的问题。

具体来说,这篇论文题目为《凸优化曲线是凸的吗?》,研究了这样的一个问题:

当使用梯度下降算法优化光滑凸函数时,其产生的优化曲线(optimization curve)是否是凸的?

这里的“优化曲线”指的是函数值f(x_n)随迭代次数n变化的曲线。如果这条曲线是凸的,意味着优化速率(即相邻两次迭代的函数值下降量)是单调递减的。

GPT-5 Pro独立做数学研究,读论文后给出更精确边界,OpenAI总裁:这是生命迹象

关于这个问题,论文的结论是优化曲线凸不凸,关键取决于步长(step size)的选择,具体包括如下几个关键点:

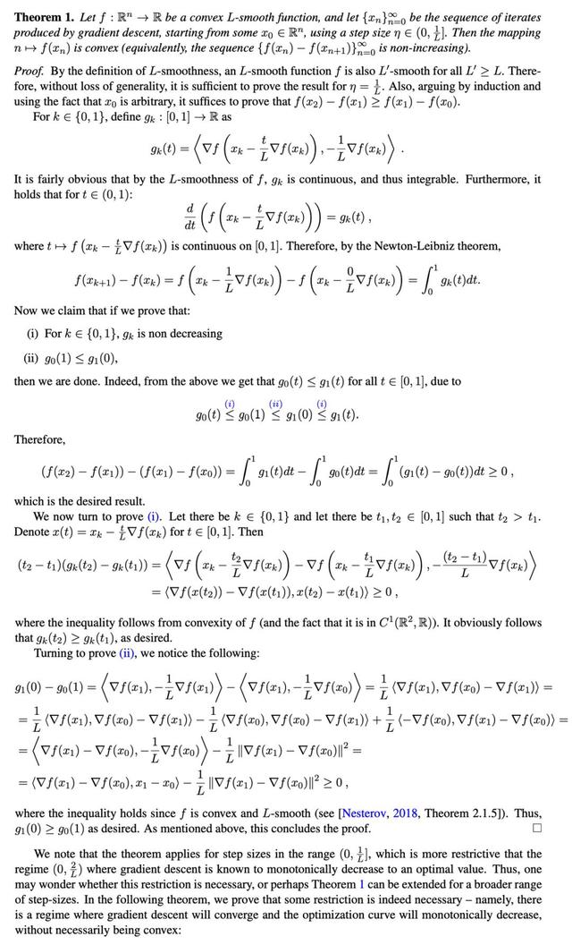
凸性保证区间:当步长η ∈ (0, 1/L]时(L为平滑度),优化曲线保证是凸的;

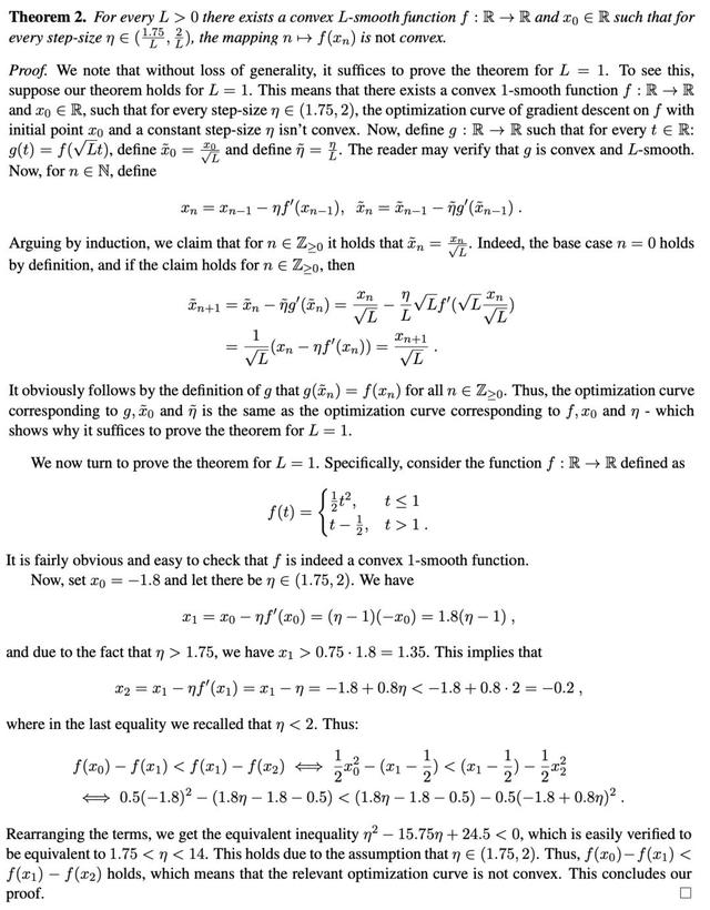
非凸可能区间:当步长η ∈ (1.75/L, 2/L)时,即使梯度下降仍单调收敛,优化曲线可能不是凸的;

梯度范数性质:对于整个收敛区间η ∈ (0, 2/L],梯度范数序列||∇f(x_n)||总是单调递减的;

二阶可导凸函数的梯度流凸性:对于凸且二阶连续可导的函数,梯度流的优化曲线总是凸的;

光滑凸函数的梯度流凸性:对于凸L-光滑函数(不要求二阶可导),梯度流的优化曲线总是凸的;

梯度流的梯度范数单调性:对于连续时间的梯度流,优化曲线总是凸的;

关于第一个结论,证明的核心是证明序列{f(x_n) - f[(x_(n+1)]}非递增。

论文作者巧妙地引入辅助函数g_k(t),将离散的迭代过程转化为连续函数的积分,利用凸函数的性质证明辅助函数的单调性,通过比较相邻两个辅助函数的大小关系,最终证明优化曲线的凸性。

GPT-5 Pro独立做数学研究,读论文后给出更精确边界,OpenAI总裁:这是生命迹象

非凸可能区间部分则是构造一个分段函数(二次函数和线性函数的组合)作为反例实现证明。

作者选择特定的初始点x_0 = -1.8,通过直接计算前三步迭代的函数值下降量,验证在该步长范围内,后面的下降量反而比前面大,违反了凸性要求。

GPT-5 Pro独立做数学研究,读论文后给出更精确边界,OpenAI总裁:这是生命迹象

由于GPT-5 Pro的证明主要针对的是边界问题,后面四个结论的证明过程在这里就不详细介绍了,感兴趣的话可以阅读原论文。

GPT-5 Pro给出新边界

在论文的第一版中,作者分别证明了步长不大于1/L和大于1.75/L时的情况,但在(1/L, 1.75/L]范围内则未有定论。

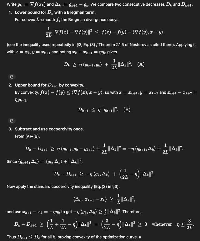
GPT-5 Pro则是通过更精细的不等式技巧,用17分半的时间把1/L这个边界移动到了1.5/L。

而人类检查证明过程的时间,是25分钟,GPT-5 Pro读论文并进行证明的时间还要长。

GPT-5 Pro独立做数学研究,读论文后给出更精确边界,OpenAI总裁:这是生命迹象

其核心思路与原论文相似,均是将优化曲线凸性问题转化为证明函数值下降量递减。

但GPT-5 Pro巧妙运用了凸L-光滑函数的两个基本不等式——Bregman散度不等式(提供更紧的下界)和标准的共强制性(cocoercivity)不等式。

通过这种巧妙的代数操作,GPT-5 Pro成功将凸性条件进一步细化。

GPT-5 Pro独立做数学研究,读论文后给出更精确边界,OpenAI总裁:这是生命迹象

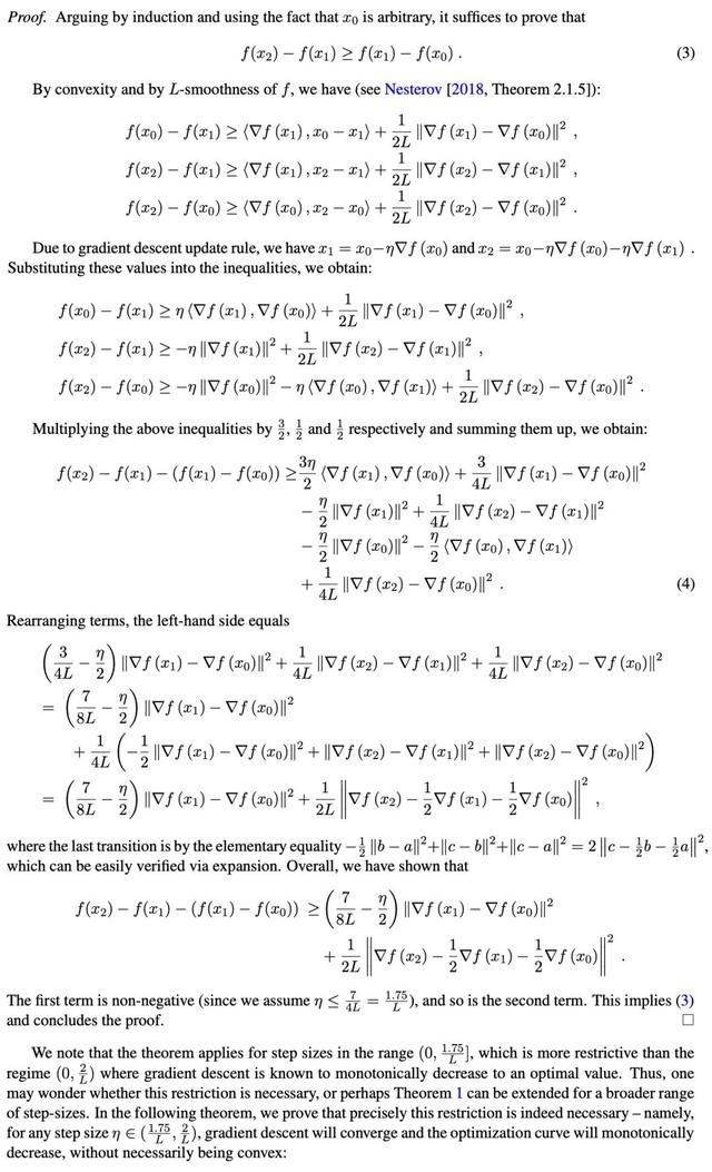
再之后,GPT-5 Pro的发现还未来得及发表,论文原作者就对论文进行了更新,作者新增了一名,关键是证明了1.75/L就是一个精确界限,之前未探索的区间实现了闭合。

其思路是利用凸L-光滑函数的Bregman散度不等式,对三个点对(x_0,x_1)、(x_1,x_2)和(x_0,x_2) 分别建立不等式,之后将三个不等式分别乘以不同权重后求和,并通过恒等式将复杂的梯度项组合化简。

GPT-5 Pro独立做数学研究,读论文后给出更精确边界,OpenAI总裁:这是生命迹象

虽然GPT-5 Pro给出的证明最后被人类扳回一城,但是,其思路和过程与新版论文不同。

也就是说,GPT-5 Pro并不是发现了新论文才实现边界的精确化,而是确实具备了自主发现并证明数学规律的能力。

参考链接:

[1]https://x.com/SebastienBubeck/status/1958198661139009862

[2]https://arxiv.org/abs/2503.10138v1[3]https://arxiv.org/abs/2503.10138v2

本文来自“量子位”,作者:关注前沿科技,36氪经授权发布。

转载请注明来自海坡下载,本文标题:《平滑凸优化(GPT5 Pro独立做数学研究)》

每一天,每一秒,你所做的决定都会改变你的人生!

发表评论

快捷回复:

评论列表 (暂无评论,99人围观)参与讨论

还没有评论,来说两句吧...