2025年11月18日 第39页
茂名seo排名原理(2015国际劳保展览会 6月盛大举行)

茂名seo排名原理(2015国际劳保展览会 6月盛大举行)

展望我国工业市场的需求拓建,由手工业推向机器工业造就现代化工业的增速,全国工业上98.3%的企业紧系人工操作,为保障生命安全、构建产业发展,由广东省安全生产协会、广东省贸促会联合主办“第八届中国广州国际安全生产及防护...

柱子优化(建筑结构丨减小柱子截面的卡脖子技术)

柱子优化(建筑结构丨减小柱子截面的卡脖子技术)

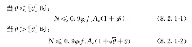
在追求建筑高品质的过程中,我们难免碰到这样一个问题,“如何把柱子截面做得更小?”从宏观来看,把压柱变为拉柱,柱截面可以减小;解除柱子的抗侧需求,将框架柱变为摇摆柱,柱截面可以减小。但更常见的问题,其实是:在既有条件下...

上海网站建设(上海网站建设策划方案2022年更新)

上海网站建设(上海网站建设策划方案2022年更新)

网站建设的核心理念:策划,设计,运营和管理网站。 网站的最终目标是通过网站获取订单、提升企业形象、建立企业网络品牌。基于行业特点和企业经营的核心业务需求,获取有价值的访问量比网站流量更重要,网站建设策划应以用户为中心...

绝地求生优化帧数(绝地求生大逃杀N卡画面帧数提高的设置方法)

绝地求生优化帧数(绝地求生大逃杀N卡画面帧数提高的设置方法)

注:具体设置方法请点击查看大图。1、在桌面右键,选择NVIDIA控制面板。...

count优化(面试官count 怎么优化)

count优化(面试官count 怎么优化)

01 前言哈喽,我是狗哥。小伙伴都知道我最近换工作了,薪资、工作内容什么的都是我比较满意的。五月底也面试了有 6、7 家公司,应该拿了有 5 个 offer。这段时间也被问了很多面试题,我打算写一个专题分享出来,希望...

枣庄网站建设公司(互联网招聘哪家强各大招聘网站产品对比)

枣庄网站建设公司(互联网招聘哪家强各大招聘网站产品对比)

小编推荐:年底跳槽旺季,各大招聘网站也如雨后春笋般冒出来,面对林林总总的招聘网站,我应该把简历扔给哪一家网站?哪家招聘网站产品好用?小编整理了下知乎上 拉勾网美女pm的总结。其实是拉勾网做的竞品分析,但作为大家找工作...

网吧电脑优化(凭啥网吧960比我2060还流畅3步神仙优化在家享受网吧体验)

网吧电脑优化(凭啥网吧960比我2060还流畅3步神仙优化在家享受网吧体验)

配置竟然是i3和GTX 960这样的搭配,而且这样的配置竟然能流畅吃鸡,跑起来还丝毫不比我的RTX 2060差,那么网吧用了什么"神仙"优化呢?下面我就告诉你如何从网吧取经。...

三星优化内存(火上浇油报道称三星大幅上调内存和闪存价格)

三星优化内存(火上浇油报道称三星大幅上调内存和闪存价格)

继大摩等看好传统存储前景后,内存巨头集体宣布涨价!周一,三星大幅上调内存和闪存产品价格,DRAM产品涨幅高达30%,NAND闪存价格上涨5-10%,原因是供应紧张和云端企业需求激增。美光和闪迪等竞争对手同时宣布类似涨...

整站seo排名灰色(具备 SEO 优化功能的网站工具易用性评分排行)

整站seo排名灰色(具备 SEO 优化功能的网站工具易用性评分排行)

具备 SEO 优化功能的网站工具易用性评分排行一、评分背景与核心维度说明...

如何在Debian虚拟机中查看IP地址(linux学习查看linux服务器的IP)

如何在Debian虚拟机中查看IP地址(linux学习查看linux服务器的IP)

我有一云主机,平台提供的信息如下:...